【药物名称】
化学结构式(Chemical Structure):
参考文献No.35848
标题:Pentafluorobenzenesulfonamides and analogs
作者:Flygare, J.; Medina, J.; Shan, B.; Clark, D.; Rosen, T. (Tularik Inc.)
来源:EP 0939627; WO 9805315
合成路线图解说明:

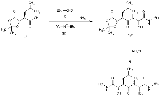
The condensation of 2(R)-(2,2-dimethyl-5-oxo-1,3-dioxolan-4(S)-yl)-4,4-dimethylpentanoic acid (I) with 2,2-dimethylpropanal (II), ter-butyl isocyanide (III) and ammonia in methanol gives the intermediate (IV), which, without isolation is treated with hydroxylamine to yield the target compound as a mixture of diastereomers.

合成路线图解说明:

The title sulfonamide was obtained by condensation of pentafluorophenyl sulfonyl chloride (I) with 3-hydroxy-4-methoxyaniline (II) in the presence of pyridine.

合成路线图解说明:

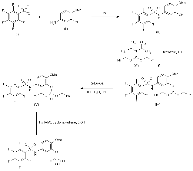
Condensation of pentafluorophenyl sulfonyl chloride (I) with 3-hydroxy-4-methoxyaniline (II) in the presence of pyridine afforded sulfonamide (III). Treatment of (III) with N,N-diisopropyl dibenzylphosphoramidite (A) and tetrazole gave phosphite ester (IV), which was subsequently oxidized to phosphate (V) by means of tert-butyl peroxide. Finally, hydrogenolysis of the benzyl phosphate ester groups of (V) in the presence of Pd/C and 1,4-cyclohexadiene furnished the title compound.

参考文献No.37752
标题:Pentafluorobenzenesulfonamides and analogs
作者:Rosen, T.; Medina, J.C.; Flygare, J.; Shan, B.; Clark, D. (Tularik Inc.)
来源:EP 0896533; JP 2000505459; US 5880151; WO 9730677
合成路线图解说明:

By condensation of pentafluorophenylsulfonyl chloride (I) with 3-fluoro-4-methoxyaniline (II) in pyridine.

合成路线图解说明:

The title sulfonamide was obtained by condensation of pentafluorophenyl sulfonyl chloride (I) with 3-hydroxy-4-methoxyaniline (II) in the presence of pyridine.

合成路线图解说明:

Condensation of pentafluorophenyl sulfonyl chloride (I) with 3-hydroxy-4-methoxyaniline (II) in the presence of pyridine afforded sulfonamide (III). Treatment of (III) with N,N-diisopropyl dibenzylphosphoramidite (A) and tetrazole gave phosphite ester (IV), which was subsequently oxidized to phosphate (V) by means of tert-butyl peroxide. Finally, hydrogenolysis of the benzyl phosphate ester groups of (V) in the presence of Pd/C and 1,4-cyclohexadiene furnished the title compound.

参考文献No.41638
标题:Arylsulfonanilide phosphates
作者:Houze, J.B. (Tularik Inc.)
来源:WO 9967258
合成路线图解说明:

Condensation of pentafluorophenyl sulfonyl chloride (I) with 3-hydroxy-4-methoxyaniline (II) in the presence of pyridine afforded sulfonamide (III). Treatment of (III) with N,N-diisopropyl dibenzylphosphoramidite (A) and tetrazole gave phosphite ester (IV), which was subsequently oxidized to phosphate (V) by means of tert-butyl peroxide. Finally, hydrogenolysis of the benzyl phosphate ester groups of (V) in the presence of Pd/C and 1,4-cyclohexadiene furnished the title compound.

Drug Information Express,Drug R&D,Chemical Database,Patent Search.
Copyright © 2006-2026 Drug Future. All rights reserved.Contact Us