【药物名称】VCP-11177, TH-1177
化学结构式(Chemical Structure):
参考文献No.593346
标题:Inhibition of human prostate cancer proliferation in vitro and in a mouse model by a compound synthesized to block Ca2+ entry
作者:Haverstick, D.M.; Heady, T.N.; MacDonald, T.L.; Gray, L.S.
来源:Cancer Res 2000,60(4),1002
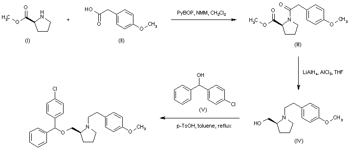
合成路线图解说明:

L-Proline methyl ester (I) was coupled with 4-methoxyphenylacetic acid (II) using benzotriazol-1-yloxytripyrrolidinephosphonium to afford amide (III). Subsequent reduction of the amide and ester functions of (III) with LiAlH4 in the presence of AlCl3 in THF produced amino alcohol (IV). This was then coupled with 4-chlorobenzhydrol (V) using p-toluenesulfonic acid in refluxing toluene to produce the title benzhydryl ether.

Drug Information Express,Drug R&D,Chemical Database,Patent Search.
Copyright © 2006-2026 Drug Future. All rights reserved.Contact Us