【药物名称】FR-182024
化学结构式(Chemical Structure):
参考文献No.30230
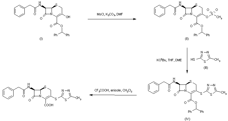
标题:Cephem cpds. and pharmaceutical use thereof
作者:Yoshida, Y.; Sasaki, H.; Matsuda, K.; Takasugi, H. (Fujisawa Pharmaceutical Co., Ltd.)
来源:EP 0796263; JP 1998510258; WO 9617850
合成路线图解说明:

The title compound has been prepared by two related procedures: Treatment of 3-hydroxy cephem derivative (I) with methanesulfonyl chloride and K2CO3 afforded mesylate (II), which was condensed with 2-mercapto-5-methyl-1,3,4-thiadiazole (III) in the presence of potassium tert-butoxide to give thioether (IV). The benzhydryl ester of (IV) was then deprotected by treatment with trifluoroacetic acid.

参考文献No.34046
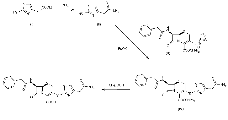
标题:New cephem cpds. and pharmaceutical use thereof
作者:Yoshida, Y.; Okuda, S.; Sasaki, H.; Matsuda, K.; Takasugi, H. (Fujisawa Pharmaceutical Co., Ltd.)
来源:EP 0882052; JP 2000505432; WO 9729111
合成路线图解说明:

The reaction of 2-(2-sulfanylthiazol-4-yl)acetic acid ethyl ester (I) with ammonia and ammonium chloride gives the corresponding acetamide (II), which is condensed with the cephem methanesulfonate (III) by means of potassium tert-butoxide in dimethoxyethane to yield the diphenylmethyl ester (IV) of the target compound, which is finally hydrolyzed with trifluoroacetic acid and anisole.

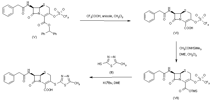
合成路线图解说明:

In an alternative method, benzhydryl ester (V) was cleaved with trifluoroacetic acid to give carboxylic acid (VI). After protection of (VI) by means of trimethylsilyl acetamide, the triflate group was displaced by the potassium salt of mercapto thiadiazole (III) to furnish the title compound.

参考文献No.557410
标题:Synthesis and anti-Helicobacter pylori activity of FR182024, a new cephem derivative
作者:Yoshida, Y.; Matsuda, K.; Sasaki, H.; Matsumoto, Y.; Matsumoto, S.; Takasugi, H.
来源:Bioorg Med Chem Lett 1999,9(21),3123
合成路线图解说明:

The title compound has been prepared by two related procedures: Treatment of 3-hydroxy cephem derivative (I) with methanesulfonyl chloride and K2CO3 afforded mesylate (II), which was condensed with 2-mercapto-5-methyl-1,3,4-thiadiazole (III) in the presence of potassium tert-butoxide to give thioether (IV). The benzhydryl ester of (IV) was then deprotected by treatment with trifluoroacetic acid.

参考文献No.593637
标题:Studies of anti-Helicobacter pylori agents. Part 2: New cephem derivatives
作者:Yoshida, Y.; Matsuda, K.; Sasaki, H.; Matsumoto, Y.; Matsumoto, S.; Tawara, S.; Takasugi, H.
来源:Bioorg Med Chem 2000,8(9),2317
合成路线图解说明:

The title compound has been prepared by two related procedures: Treatment of 3-hydroxy cephem derivative (I) with methanesulfonyl chloride and K2CO3 afforded mesylate (II), which was condensed with 2-mercapto-5-methyl-1,3,4-thiadiazole (III) in the presence of potassium tert-butoxide to give thioether (IV). The benzhydryl ester of (IV) was then deprotected by treatment with trifluoroacetic acid.

合成路线图解说明:

In an alternative method, benzhydryl ester (V) was cleaved with trifluoroacetic acid to give carboxylic acid (VI). After protection of (VI) by means of trimethylsilyl acetamide, the triflate group was displaced by the potassium salt of mercapto thiadiazole (III) to furnish the title compound.

Drug Information Express,Drug R&D,Chemical Database,Patent Search.
Copyright © 2006-2026 Drug Future. All rights reserved.Contact Us