【药物名称】
化学结构式(Chemical Structure):
参考文献No.558003
标题:2,6-Difluorophenol as a bioisostere of a carboxylic acid: Bioisosteric analogues of gamma-aminobutyric acid
作者:Qiu, J.; Stevenson, S.H.; O'Beirne, M.J.; Silverman, R.B.
来源:J Med Chem 1999,42(2),329
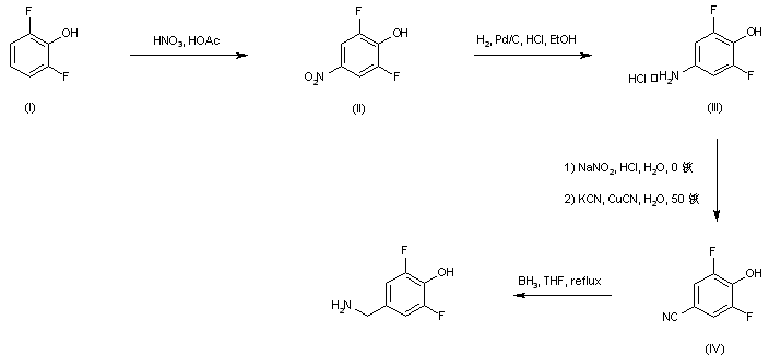
合成路线图解说明:

Nitration of 2,6-difluorophenol (I) gave 2,6-difluoro-4-nitrophenol (II), which was reduced to the corresponding aniline (III) by hydrogenation over Pd/C. Nitrile (IV) was obtained by diazotization of (III) followed by in situ displacement of the diazonium salt with CuCN and KCN. The nitrile (IV) was finally reduced to the title benzylamine employing borane in THF.

Drug Information Express,Drug R&D,Chemical Database,Patent Search.
Copyright © 2006-2026 Drug Future. All rights reserved.Contact Us