【药物名称】Spisulosine 285, Spisulosine, ES-285
化学结构式(Chemical Structure):
参考文献No.40920
标题:Spisulosine cpds. having antitumour activity
作者:Garcia Gravalos, D.; Warwick, R.A.; Avila, J.; Rinehart, K.L.; Fregeau, N.L.; Faircloth, G.T. (University of Illinois)
来源:WO 9952521
合成路线图解说明:

Alanine methyl ester (I) was protected by N-alkylation with benzyl bromide to afford (II), which was further reduced to amino alcohol (III) using LiAlH4. Swern oxidation of (III) provided aldehyde (IV). Addition of the Grignard reagent obtained from 1-bromopentadecane (A) to aldehyde (IV) produced the anti-aminoalcohol (V). The N-benzyl groups were finally removed by catalytic hydrogenolysis.

合成路线图解说明:

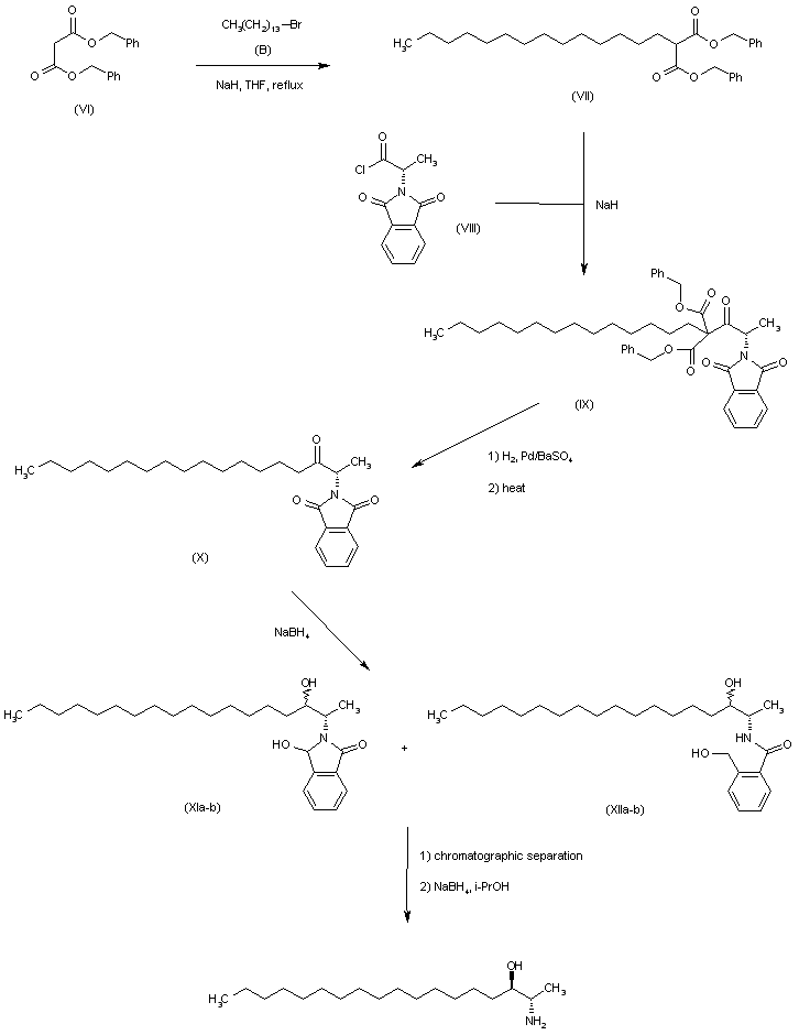
In a different procedure, dibenzyl malonate (VI) was alkylated with tetradecyl bromide (B) to afford (VII). This was then condensed with N-phthaloyl-L-alanyl chloride (VIII) in the presence of NaH, and the resulting keto diester (IX) was subjected to hydrogenolysis of the benzyl esters and further thermal decarboxylation to furnish ketone (X). Ketone reduction with simultaneous partial reduction of the phthaloyl group yielded (XI) and (XII) as a diastereomeric mixture. After chromatographic separation, the desired isomers were deprotected by reductive cleavage with NaBH4 to provide the corresponding amino alcohol.

参考文献No.597403
标题:The marine compound spisulosine, an inhibitor of cell proliferation, promotes the disassembly of actin stress fibers
作者:Cuadros, R.; Montejo de Garcini, E.; Wandosell, F.; Faircloth, G.; Fernandez-Sousa, J.M.; Avila, J.
来源:Cancer Lett 2000,152(1),23
合成路线图解说明:

Alanine methyl ester (I) was protected by N-alkylation with benzyl bromide to afford (II), which was further reduced to amino alcohol (III) using LiAlH4. Swern oxidation of (III) provided aldehyde (IV). Addition of the Grignard reagent obtained from 1-bromopentadecane (A) to aldehyde (IV) produced the anti-aminoalcohol (V). The N-benzyl groups were finally removed by catalytic hydrogenolysis.

合成路线图解说明:

In a different procedure, dibenzyl malonate (VI) was alkylated with tetradecyl bromide (B) to afford (VII). This was then condensed with N-phthaloyl-L-alanyl chloride (VIII) in the presence of NaH, and the resulting keto diester (IX) was subjected to hydrogenolysis of the benzyl esters and further thermal decarboxylation to furnish ketone (X). Ketone reduction with simultaneous partial reduction of the phthaloyl group yielded (XI) and (XII) as a diastereomeric mixture. After chromatographic separation, the desired isomers were deprotected by reductive cleavage with NaBH4 to provide the corresponding amino alcohol.

Drug Information Express,Drug R&D,Chemical Database,Patent Search.
Copyright © 2006-2026 Drug Future. All rights reserved.Contact Us