【药物名称】beta-Lapachone, ARQ-501, CO-501, R-1668
化学结构式(Chemical Structure):
参考文献No.31497
标题:Novel synthesis and use of beta-lapachone analogs
作者:Boothman, D.A.; Frydman, B.J.; Witiak, D.T. (Wisconsin Alumni Research Foundation)
来源:US 5763625; WO 9633988
合成路线图解说明:

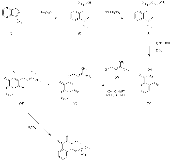
Oxidative cleavage of methylindene (I) by means of Na2Cr2O7 produces 2-acetylphenylacetic acid (II). Fischer esterification of keto acid (II) gives keto ester (III), which is subjected to intramolecular Claisen condensation and air oxidation, yielding the hydroxy naphthoquinone (IV) (1). Alkylation of (IV) with prenyl bromide (V) leads to a mixture of lapachol (VII) and minor amounts of the prenyl ether isomer (VI) (1-3). Finally, cyclization of (VII) in concentrated H2SO4 gives rise to the target compound.

参考文献No.56694
标题:Synthesis of beta-lapachone and its intermediates
作者:Jiang, Z.; Hogeland, J. (Dana-Farber Cancer Institute)
来源:WO 0259103
合成路线图解说明:

Oxidative cleavage of methylindene (I) by means of Na2Cr2O7 produces 2-acetylphenylacetic acid (II). Fischer esterification of keto acid (II) gives keto ester (III), which is subjected to intramolecular Claisen condensation and air oxidation, yielding the hydroxy naphthoquinone (IV) (1). Alkylation of (IV) with prenyl bromide (V) leads to a mixture of lapachol (VII) and minor amounts of the prenyl ether isomer (VI) (1-3). Finally, cyclization of (VII) in concentrated H2SO4 gives rise to the target compound.

参考文献No.712232
标题:beta-Lapachone: Synthesis of derivatives and activities in tumor models
作者:Schaffner-Sabba, K.; Schmidt-Ruppin, K.H..; Wehrli, W.; Schuerch, A.R.; Wasley, J.W.F.
来源:J Med Chem 1984,27(8),990
合成路线图解说明:

Oxidative cleavage of methylindene (I) by means of Na2Cr2O7 produces 2-acetylphenylacetic acid (II). Fischer esterification of keto acid (II) gives keto ester (III), which is subjected to intramolecular Claisen condensation and air oxidation, yielding the hydroxy naphthoquinone (IV) (1). Alkylation of (IV) with prenyl bromide (V) leads to a mixture of lapachol (VII) and minor amounts of the prenyl ether isomer (VI) (1-3). Finally, cyclization of (VII) in concentrated H2SO4 gives rise to the target compound.

参考文献No.712234
标题:A preparative synthesis of lapachol and related naphthoquinones
作者:Sun, J.S.; Geiser, A.H.; Frydman, B.
来源:Tetrahedron Lett 1998,398221
合成路线图解说明:

Oxidative cleavage of methylindene (I) by means of Na2Cr2O7 produces 2-acetylphenylacetic acid (II). Fischer esterification of keto acid (II) gives keto ester (III), which is subjected to intramolecular Claisen condensation and air oxidation, yielding the hydroxy naphthoquinone (IV) (1). Alkylation of (IV) with prenyl bromide (V) leads to a mixture of lapachol (VII) and minor amounts of the prenyl ether isomer (VI) (1-3). Finally, cyclization of (VII) in concentrated H2SO4 gives rise to the target compound.

参考文献No.712235
标题:The total synthesis of beta-lapachone
作者:Amaral, A.C.F.; Barnes, R.A.
来源:J Heterocycl Chem 1992,291457
合成路线图解说明:

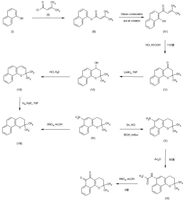
Esterification of 1-naphthol (I) with 3-methylcrotonic acid chloride (II) provides ester (III), which subsequently rearranges to the hydroxy ketone (IV). Cyclization of (IV) under acidic conditions provides the tricyclic system (V). Keto group reduction in (V) by means of LiAlH4 leads to alcohol (VI), which upon acidic treatment is dehydrated to olefin (VII). Further catalytic hydrogenation of (VII) in the presence of Pd/C yields the dihydro naphthopyran (VIII). Electrophilic nitration of (VIII) provides (IX). After reduction of nitro derivative (IX) to the corresponding amine (X) by means of Sn/HCl, acylation with acetic anhydride furnishes acetamide (XI). Finally, oxidation of (XI) with concentrated nitric acid gives rise to the target ortho-quinone .

Drug Information Express,Drug R&D,Chemical Database,Patent Search.
Copyright © 2006-2026 Drug Future. All rights reserved.Contact Us