【药物名称】HI-D12, WHI-D12
化学结构式(Chemical Structure):
参考文献No.45098
标题:Calanolides for inhibiting BTK
作者:Sudbeck, E.A.; Uckun, F.M. (Parker Hughes Institute)
来源:WO 0056737
合成路线图解说明:

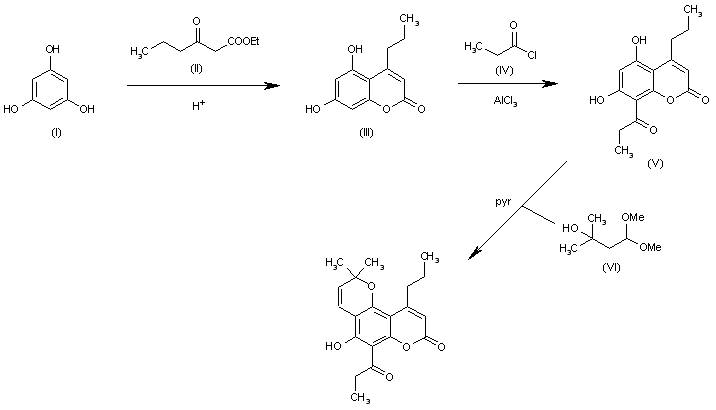
The cyclization of floroglucinol (I) with ethyl 2-oxohexanoate (II) in acidic medium gives 5,7-dihydroxy-4-propyl-2H-1-benzopyran-2-one (III), which is submitted to a Friedel Crafts condensation with propionyl chloride (IV) / AlCl3 to yield the 8-propionyl derivative (V). Finally, the cyclization of (V) with 3-hydroxy-3-methylbutyraldehyde dimethyl acetal (VI) in refluxing pyridine affords the target compound.

Drug Information Express,Drug R&D,Chemical Database,Patent Search.
Copyright © 2006-2026 Drug Future. All rights reserved.Contact Us