【药物名称】LY-402913
化学结构式(Chemical Structure):
参考文献No.40785
标题:Methods for inhibiting MRP1
作者:Kroin, J.S.; Norman, B.H.; Gruber, J.M. (Eli Lilly and Company)
来源:EP 1067928; JP 2002510625; US 6369070; WO 9951228
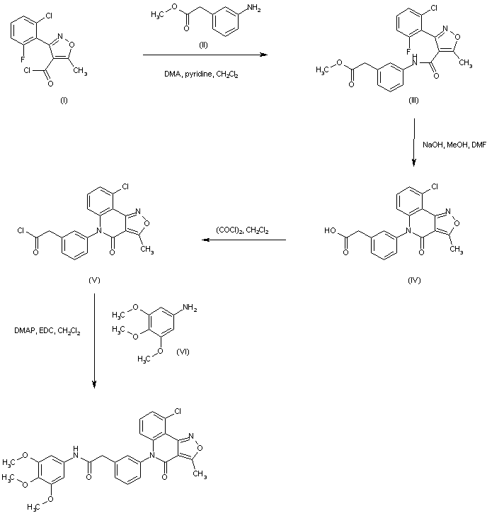
合成路线图解说明:

Condensation of 3-(2-chloro-6-fluorophenyl)-5-methyl-4-isoxazolecarbonyl chloride (I) with methyl 3-aminophenylacetate (II) leads to amide (III). Intramolecular cyclization of (III) and simultaneous hydrolysis in the presence of NaOH in MeOH/DMF provide the isoxazoloquinoline derivative (IV). After activation of acid (IV) as the corresponding acid chloride (V), coupling with 3,4,5-trimethoxyaniline (VI) furnishes the title compound

参考文献No.666204
标题:Tricyclic isoxazoles are novel inhibitors of the multidrug resistance protein (MRP1)
作者:Norman, B.H.; Gruber, J.M.; Hollinshead, S.P.; Wilson, J.W.; Starling, J.J.; Law, K.L.; Self, T.D.; Tabas, L.B.; Williams, D.C.; Paul, D.C.; Wagner, M.M.; Dantzig, A.H.
来源:Bioorg Med Chem Lett 2002,12(6),883
合成路线图解说明:

Condensation of 3-(2-chloro-6-fluorophenyl)-5-methyl-4-isoxazolecarbonyl chloride (I) with methyl 3-aminophenylacetate (II) leads to amide (III). Intramolecular cyclization of (III) and simultaneous hydrolysis in the presence of NaOH in MeOH/DMF provide the isoxazoloquinoline derivative (IV). After activation of acid (IV) as the corresponding acid chloride (V), coupling with 3,4,5-trimethoxyaniline (VI) furnishes the title compound

Drug Information Express,Drug R&D,Chemical Database,Patent Search.
Copyright © 2006-2026 Drug Future. All rights reserved.Contact Us