【药物名称】CompB, J-113397
化学结构式(Chemical Structure):
参考文献No.41525
标题:2-Oxoimidazole derivs.
作者:Ozaki, S.; Kawamoto, H.; Hirano, K.; Ito, Y.; Hayashi, K.; Iwasawa, Y. (Banyu Pharmaceutical Co., Ltd.)
来源:EP 0990653; WO 9854168
合成路线图解说明:

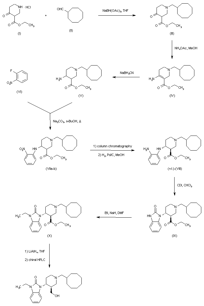
Reductive alkylation of ethyl 4-oxopiperidine-3-carboxylate (I) with cyclooctane carboxaldehyde (II) in the presence of sodium triacetoxy borohydride provided the cyclooctylmethyl piperidine (III). Treatment of (III) with ammonium acetate gave the unstable enamine (IV), which was reduced to amine (V) with NaBH3CN and subsequently coupled with 2-fluoronitrobenzene (VI) in refluxing MeOH to furnish nitroaniline (VIIa-b) as a mixture of trans- and cis-isomers. After separation by silica gel column chromatography, the desired trans-isomer was hydrogenated in the presence of Pd/C to afford phenylenediamine (VIII). Cyclization of (VIII) with carbonyldiimidazole produced benzimidazolone (IX), which was N-alkylated with ethyl iodide and NaH to give (X). Reduction of the ester group of (X) with LiAlH4 yielded the corresponding alcohol as a racemate. Optical resolution was achieved using a Chiralpak AD column.

参考文献No.556514
标题:Discovery of the first potent and selective small molecule opioid receptor-like (ORL1) antagonist: 1-[(3R,4R)-1-cyclooctylmethyl-3-hydroxymethyl-4-piperidyl]3-ethyl-1,3-dihydro-2H-benzimidazol-2-one(J-113397)
作者:Kawamoto, H.; Ozaki, S.; Itoh, Y.; Miyaji, M.; Arai, S.; Nakashima, H.; Kato, T.; Ohta, H.; Iwasawa, Y.
来源:J Med Chem 1999,42(25),5061
合成路线图解说明:

Reductive alkylation of ethyl 4-oxopiperidine-3-carboxylate (I) with cyclooctane carboxaldehyde (II) in the presence of sodium triacetoxy borohydride provided the cyclooctylmethyl piperidine (III). Treatment of (III) with ammonium acetate gave the unstable enamine (IV), which was reduced to amine (V) with NaBH3CN and subsequently coupled with 2-fluoronitrobenzene (VI) in refluxing MeOH to furnish nitroaniline (VIIa-b) as a mixture of trans- and cis-isomers. After separation by silica gel column chromatography, the desired trans-isomer was hydrogenated in the presence of Pd/C to afford phenylenediamine (VIII). Cyclization of (VIII) with carbonyldiimidazole produced benzimidazolone (IX), which was N-alkylated with ethyl iodide and NaH to give (X). Reduction of the ester group of (X) with LiAlH4 yielded the corresponding alcohol as a racemate. Optical resolution was achieved using a Chiralpak AD column.

参考文献No.601168
标题:Discovery and synthesis of the first potent and selective small molecule ORL1 receptor antagonist: J-113397
作者:Kawamoto, H.; et al.
来源:20th Symp Med Chem (Dec 6 2000, Tokyo) 2000,Abst 1P-14
合成路线图解说明:

Reductive alkylation of ethyl 4-oxopiperidine-3-carboxylate (I) with cyclooctane carboxaldehyde (II) in the presence of sodium triacetoxy borohydride provided the cyclooctylmethyl piperidine (III). Treatment of (III) with ammonium acetate gave the unstable enamine (IV), which was reduced to amine (V) with NaBH3CN and subsequently coupled with 2-fluoronitrobenzene (VI) in refluxing MeOH to furnish nitroaniline (VIIa-b) as a mixture of trans- and cis-isomers. After separation by silica gel column chromatography, the desired trans-isomer was hydrogenated in the presence of Pd/C to afford phenylenediamine (VIII). Cyclization of (VIII) with carbonyldiimidazole produced benzimidazolone (IX), which was N-alkylated with ethyl iodide and NaH to give (X). Reduction of the ester group of (X) with LiAlH4 yielded the corresponding alcohol as a racemate. Optical resolution was achieved using a Chiralpak AD column.

参考文献No.608981
标题:Synthesis of J-113397, the first potent and selective ORL1 antagonist
作者:Kawamoto, H.; et al.
来源:Tetrahedron 2001,57(6),981
合成路线图解说明:

The chloroformylation of cyclooctanone (XI) with DMF and POCl3 gives 2-chloro-1-cyclooctenecarbaldehyde (XII), which is dechlorinated and hydrogenated with H2 over Pd/C to afford the desired intermediate (II).

Drug Information Express,Drug R&D,Chemical Database,Patent Search.
Copyright © 2006-2026 Drug Future. All rights reserved.Contact Us