【药物名称】FR-227369
化学结构式(Chemical Structure):
参考文献No.41043
标题:Guanidine derivs.
作者:Inoue, Y.; Akahane, A.; Takenaka, K.; Minagawa, M. (Fujisawa Pharmaceutical Co., Ltd.)
来源:EP 1073650; US 6346527; WO 9955690
合成路线图解说明:

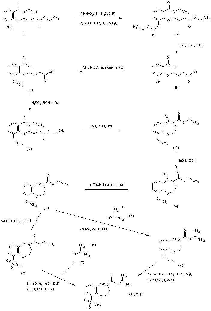
Diazotization of ethyl 3-amino-2-(3-ethoxycarbonylpropoxy)benzoate (I), followed by treatment of the resultant diazonium salt with potassium xanthogenate, afforded the aryl xanthate (II). Basic hydrolysis of (II) furnished the mercapto diacid (III). The methylthio analogue (IV) was prepared by alkylation of the thiol group with iodomethane and K2CO3. Subsequent Fischer esterification of the carboxyl groups produced diester (V), which was subjected to a Dieckmann cyclization to furnish the benzoxepin derivative (VI). Ketone (VI) reduction with NaBH4 gave hydroxyester (VII). This was dehydrated to the unsaturated ester (VIII) upon heating with p-toluenesulfonic acid in toluene. Oxidation of sulfide (VIII) with m-chloroperbenzoic acid yielded sulfone (IX). Then, displacement of the ester group of (IX) with guanidine (X) provided the title acyl guanidine, which was isolated as the mesylate salt. Alternatively, ester (VIII) was first treated with guanidine (X), producing the acyl guanidine (XI), and the sulfide group of (XI) was further oxidized to sulfone with m-chloroperbenzoic acid .

参考文献No.641331
标题:Synthesis and structure activity relationships on benzoxepine derivatives as novel Na+/H+ exchange inhibitors
作者:Takenaka, K.; et al.
来源:21st Symp Med Chem (Nov 28 2001, Kyoto) 2001,Abst 1P-14
合成路线图解说明:

Diazotization of ethyl 3-amino-2-(3-ethoxycarbonylpropoxy)benzoate (I), followed by treatment of the resultant diazonium salt with potassium xanthogenate, afforded the aryl xanthate (II). Basic hydrolysis of (II) furnished the mercapto diacid (III). The methylthio analogue (IV) was prepared by alkylation of the thiol group with iodomethane and K2CO3. Subsequent Fischer esterification of the carboxyl groups produced diester (V), which was subjected to a Dieckmann cyclization to furnish the benzoxepin derivative (VI). Ketone (VI) reduction with NaBH4 gave hydroxyester (VII). This was dehydrated to the unsaturated ester (VIII) upon heating with p-toluenesulfonic acid in toluene. Oxidation of sulfide (VIII) with m-chloroperbenzoic acid yielded sulfone (IX). Then, displacement of the ester group of (IX) with guanidine (X) provided the title acyl guanidine, which was isolated as the mesylate salt. Alternatively, ester (VIII) was first treated with guanidine (X), producing the acyl guanidine (XI), and the sulfide group of (XI) was further oxidized to sulfone with m-chloroperbenzoic acid .

Drug Information Express,Drug R&D,Chemical Database,Patent Search.
Copyright © 2006-2026 Drug Future. All rights reserved.Contact Us