【药物名称】ATI-2064
化学结构式(Chemical Structure):
参考文献No.25644
标题:Benzoylbenzofurane derivs. for treatment of cardiac arrhythmia
作者:Druzgala, P. (ARYx Therapeutics, Inc.)
来源:EP 0703910; JP 1996511546; US 5364880; WO 9429289
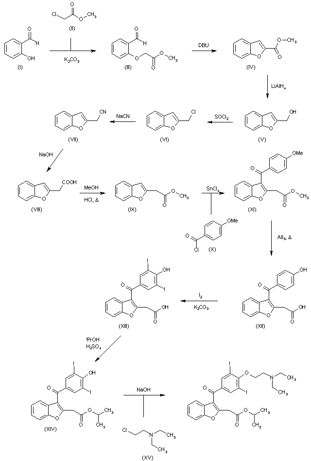
合成路线图解说明:

Treatment of salicylaldehyde (I) with methyl chloroacetate (II) in DMF in the presence of potassium carbonate provides methyl o-formylphenoxyacetate (III), which is converted into methyl 2-benzofuranecarboxylate (IV) by reaction with DBU in toluene. Reduction of (IV) by means of LiAlH4 in ether yields hydroxy derivative (V), which then reacts with SOCl2 in ether/DMF to furnish chloro derivative (VI). Treatment of (VI) with NaCN in DMSO affords cyano derivative (VII), which is converted into 2-benzofuraneacetic acid (VIII) by treatment with NaOH in boiling water. Esterification of (VIII) by treatment with HCl in refluxing MeOH affords methyl acetate derivative (IX), which is condensed with p-anisoyl chloride (X) by means of SnCl4 in 1,2-dichloroethane to yield compound (XI). Treatment of (XI) with aluminum powder and iodine crystals (to generate AlI3) in refluxing benzene gives acetic acid derivative (XII), which is iodinated with iodine and K2CO3 in H2O to give derivative (XIII). Esterification of (XIII) by means of iPrOH and H2SO4 provides isopropyl acetate derivative (XIV), which is finally converted into the desired product by reaction with diethylaminoethyl chloride (XV) in NaOH and CH2Cl2 in the presence of benzyltriethylammonium chloride.

参考文献No.50939
标题:Cpd. for treatment of cardiac arrhythmia, synthesis, and methods of use
作者:Druzgala, P. (ARYx Therapeutics, Inc.)
来源:US 5849788
合成路线图解说明:

Treatment of salicylaldehyde (I) with methyl chloroacetate (II) in DMF in the presence of potassium carbonate provides methyl o-formylphenoxyacetate (III), which is converted into methyl 2-benzofuranecarboxylate (IV) by reaction with DBU in toluene. Reduction of (IV) by means of LiAlH4 in ether yields hydroxy derivative (V), which then reacts with SOCl2 in ether/DMF to furnish chloro derivative (VI). Treatment of (VI) with NaCN in DMSO affords cyano derivative (VII), which is converted into 2-benzofuraneacetic acid (VIII) by treatment with NaOH in boiling water. Esterification of (VIII) by treatment with HCl in refluxing MeOH affords methyl acetate derivative (IX), which is condensed with p-anisoyl chloride (X) by means of SnCl4 in 1,2-dichloroethane to yield compound (XI). Treatment of (XI) with aluminum powder and iodine crystals (to generate AlI3) in refluxing benzene gives acetic acid derivative (XII), which is iodinated with iodine and K2CO3 in H2O to give derivative (XIII). Esterification of (XIII) by means of iPrOH and H2SO4 provides isopropyl acetate derivative (XIV), which is finally converted into the desired product by reaction with diethylaminoethyl chloride (XV) in NaOH and CH2Cl2 in the presence of benzyltriethylammonium chloride.

参考文献No.50940
标题:Cpd. for treatment of cardiac arrhythmia, synthesis, and methods of use
作者:Druzgala, P. (ARYx Therapeutics, Inc.)
来源:US 6130240
合成路线图解说明:

Treatment of salicylaldehyde (I) with methyl chloroacetate (II) in DMF in the presence of potassium carbonate provides methyl o-formylphenoxyacetate (III), which is converted into methyl 2-benzofuranecarboxylate (IV) by reaction with DBU in toluene. Reduction of (IV) by means of LiAlH4 in ether yields hydroxy derivative (V), which then reacts with SOCl2 in ether/DMF to furnish chloro derivative (VI). Treatment of (VI) with NaCN in DMSO affords cyano derivative (VII), which is converted into 2-benzofuraneacetic acid (VIII) by treatment with NaOH in boiling water. Esterification of (VIII) by treatment with HCl in refluxing MeOH affords methyl acetate derivative (IX), which is condensed with p-anisoyl chloride (X) by means of SnCl4 in 1,2-dichloroethane to yield compound (XI). Treatment of (XI) with aluminum powder and iodine crystals (to generate AlI3) in refluxing benzene gives acetic acid derivative (XII), which is iodinated with iodine and K2CO3 in H2O to give derivative (XIII). Esterification of (XIII) by means of iPrOH and H2SO4 provides isopropyl acetate derivative (XIV), which is finally converted into the desired product by reaction with diethylaminoethyl chloride (XV) in NaOH and CH2Cl2 in the presence of benzyltriethylammonium chloride.

Drug Information Express,Drug R&D,Chemical Database,Patent Search.
Copyright © 2006-2026 Drug Future. All rights reserved.Contact Us