【药物名称】CP-319340
化学结构式(Chemical Structure):
参考文献No.39861
标题:Biphenyl-2-carboxylic acid-tetrahydro-isoquinolin-6-yl amide derivs., their preparation and their use as inhibitors of microsomal triglyceride transfer protein and/or apolipoprotein B (Apo B) secretion
作者:Quallich, G.J.; Dorff, P.H.; Chang, G. (Pfizer Inc.)
来源:JP 1999514964; US 5919795; WO 9640640
合成路线图解说明:

4-Bromophenethyl amine (I) was refluxed with ethyl formate to afford formamide (II). Cyclization of (II) employing polyphosphoric acid and phosphorus pentoxide at 200 C furnished 7-bromo-3,4-dihydroisoquinoline, which was isolated as the corresponding hydrochloride salt (III). Reduction of (III) with NaBH4 gave the tetrahydroisoquinoline (IV), that was nitrated with KNO3 and H2SO4 to provide (V). After protection of (V) as the N-Boc derivative (VI), reduction of the nitro group with concomitant hydrogenolysis of the bromine by hydrogenation over Pd/CaCO3 yielded aminoisoquinoline (VII). This was coupled with 4?(trifluoromethyl)biphenyl-2-carboxylic acid (VIII) by means of EDC to produce amide (IX). Cleavage of the Boc group of (IX) with trifluoroacetic acid gave amine (X). Finally, reductive alkylation of (X) with imidazole-2-carbaldehyde (XI) and sodium cyanoborohydride furnished the title compound.

合成路线图解说明:

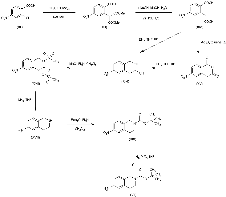
Condensation of 2-chloro-4-nitrobenzoic acid (XII) with dimethyl malonate produced the arylmalonate (XIII). Hydrolysis and subsequent decarboxylation of (XIII) afforded diacid (XIV). This was converted into cyclic anhydride (XV) upon refluxing with Ac2O and then reduced to diol (XVI) with borane in THF. Optionally, diol (XVI) was obtained by direct reduction of diacid (XIV) with borane. After conversion of (XVI) to dimesylate (XVII), cyclization with ammonia produced tetrahydroisoquinoline (XVIII). This was protected as the N-Boc derivative (XIX) and the nitro group was reduced to the target amine (VII) by hydrogenation over Pt/C .

合成路线图解说明:

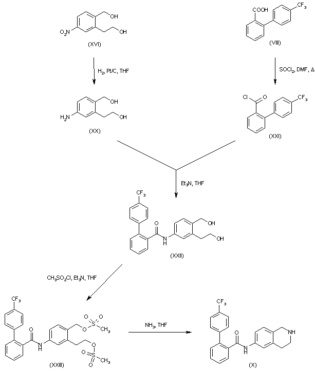
In a further procedure, nitro diol (XVI) was hydrogenated over Pt/C, and the resulting amine (XX) was condensed with acid chloride (XXI) (prepared from carboxylic acid (VIII) and SOCl2) to afford amide (XXII). After conversion of (XXII) to dimesylate (XXIII), cyclization with ammonia furnished intermediate (X).

Drug Information Express,Drug R&D,Chemical Database,Patent Search.
Copyright © 2006-2026 Drug Future. All rights reserved.Contact Us