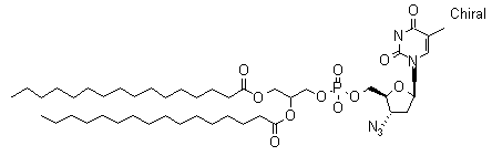
【药物名称】DPP-AZT
化学结构式(Chemical Structure):
参考文献No.321295
标题:Lymphatic targeting of anti-HIV nucleosides: Distribution of 3'-azido-3'-deoxythymidine (AZT) and 3'-azido-2',3'-dideoxyuridine (AZdU) after administration of dipalmitoylphosphatidyl prodrugs to mice
作者:Manouilov, K.K.; Fedorov, I.I.; Boudinot, F.D.; White, C.A.; Kotra, L.P.; Schinazi, R.F.; Hong, C.I.; Chu, C.K.
来源:Antivir Chem Chemother 1995,6(4),230
合成路线图解说明:

The title compound was obtained from 3'-azido-3'-deoxythymidine (I) either by treatment with tri-n-butylammonium phosphite and DCC in pyridine or by treatment with phosphorus trichloride in the presence of imidazole and Et3N in acetonitrile or in the presence of triethyl phosphate, followed by aqueous hydrolysis.

合成路线图解说明:

3'-azido-3'-deoxythimidine (II) was phosphitylated with phosphorus trichloride in triethyl phosphate to yield the corresponding hydrogen phosphonate (III). Subsequent coupling of (III) with 1,2-dipalmitoylglycerol (IV) by means of pivaloyl chloride in pyridine produced phosphite ester (V), which was finally oxidized to the title phosphate with ethanolic iodine.

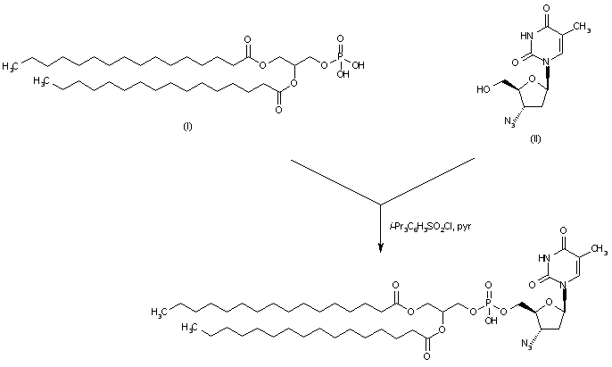
参考文献No.568763
标题:Phosphatidylazidothymidine and phosphatidyl-ddC: Assessment of uptake in mouse lymphoid tissues and antiviral activities in human immunodeficiency virus-infected cells and in rauscher leukemia virus-infected mice
作者:Hostetler, K.Y.; Richman, D.D.; Sridhar, C.N.; Felgner, P.L.; Felgner, J.; Ricci, J.; Gardner, M.F.; Selleseth, D.W.; Ellis, M.N.
来源:Antimicrob Agents Chemother 1994,38(12),2792
合成路线图解说明:

The synthesis of the title compound has been reported by two procedures. Coupling of dipalmitoylphosphatidic acid (I) to 3'-azido-3'-deoxythimidine (AZT) (II) was carried out using triisopropylbenzenesulfonyl chloride in pyridine to provide the target phosphate diester.

Drug Information Express,Drug R&D,Chemical Database,Patent Search.
Copyright © 2006-2026 Drug Future. All rights reserved.Contact Us