【药物名称】
化学结构式(Chemical Structure):
参考文献No.39640
标题:Antiviral cpds.
作者:Bedard, J.; Rando, R.; Falardeau, G.; Lavallee, J.-F. (BioChem Pharma Inc.)
来源:WO 9929318
合成路线图解说明:

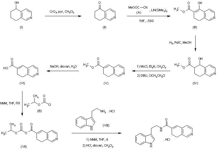
Oxidation of 5-hydroxy-5,6,7,8-tetrahydroisoquinoline (I) using CrO3 in pyridine produced the corresponding ketone (II). Subsequent condensation of (II) with methyl cyanoformate (A) in the presence of lithium hexamethyldisilazide gave ketoester (III), which was reduced to hydroxyester (IV) by means of catalytic hydrogenation. Dehydration of (IV) to the unsaturated ester (V) was achieved by treatment with methanesulfonyl chloride and triethylamine, followed by basic elimination with DBU. Saponification of the ester group of (V) produced carboxylic acid (VI). After activation of (VI) as the mixed anhydride (VII) with isopropyl chloroformate (B), coupling with tryptamine (VIII) furnished the title amide, which was finally isolated as the hydrochloride salt.

合成路线图解说明:

Treatment of 2-isopropoxyphenylamine (I) with triphosgene (II) and DIEA in dichloromethane affords isocyanate (III), which is then converted into the desired urea derivative by treatment with amine (IV) in refluxing acetonitrile.

参考文献No.585851
标题:Design and evaluation of dihydroisoquinolines as potent and orally bioavailable human cytomegalovirus inhibitors
作者:Chan, L.; Stefanac, T.; Turcotte, N.; Hu, Z.; Chen, Y.; B閐ard, J.; May, S.; Jin, H.
来源:Bioorg Med Chem Lett 2000,10(13),1477
合成路线图解说明:

Oxidation of 5-hydroxy-5,6,7,8-tetrahydroisoquinoline (I) using CrO3 in pyridine produced the corresponding ketone (II). Subsequent condensation of (II) with methyl cyanoformate (A) in the presence of lithium hexamethyldisilazide gave ketoester (III), which was reduced to hydroxyester (IV) by means of catalytic hydrogenation. Dehydration of (IV) to the unsaturated ester (V) was achieved by treatment with methanesulfonyl chloride and triethylamine, followed by basic elimination with DBU. Saponification of the ester group of (V) produced carboxylic acid (VI). After activation of (VI) as the mixed anhydride (VII) with isopropyl chloroformate (B), coupling with tryptamine (VIII) furnished the title amide, which was finally isolated as the hydrochloride salt.

Drug Information Express,Drug R&D,Chemical Database,Patent Search.
Copyright © 2006-2026 Drug Future. All rights reserved.Contact Us