【药物名称】FR-226807
化学结构式(Chemical Structure):
参考文献No.40972
标题:Anthranilic acid derivs. as inhibitors of the cGMP-phosphodiesterase
作者:Oku, T.; Sawada, K.; Kuroda, A.; Kayakiri, N.; Sawada, Y.; Inoue, T.; Mizutani, T. (Fujisawa Pharmaceutical Co., Ltd.)
来源:EP 1080069; JP 2001508811; US 6384080; WO 9954284
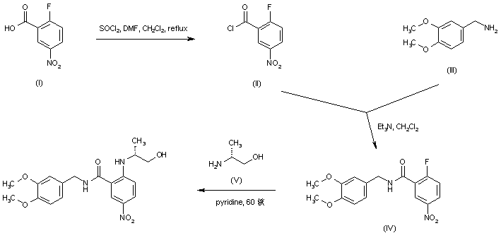
合成路线图解说明:

2-Fluoro-5-nitrobenzoic acid (I) was converted to the corresponding acid chloride (II) by chlorination of with SOCl2. Condensation of acid chloride (II) with 3,4-dimethoxybenzylamine (III) provided amide (IV). The aromatic fluorine atom of (IV) was then displaced with (R)-2-amino-1-propanol (V) in hot pyridine to furnish the title anthranilic acid derivative.

Drug Information Express,Drug R&D,Chemical Database,Patent Search.
Copyright © 2006-2026 Drug Future. All rights reserved.Contact Us