【药物名称】Ambrisentan, BSF-208075, LU-208075
化学结构式(Chemical Structure):
参考文献No.381060
标题:Discovery and optimization of a novel class of orally active nonpeptidic endothelin-A receptor antagonists
作者:Albrecht, H.-P.; Riechers, H.; Amberg, W.; Baumann, E.; Bernard, H.; Bohm, H.J.; Klinge, D.; Kling, A.; Muller, S.; Raschack, M.; Unger, L.; Walker, N.; Wernet, W.
来源:J Med Chem 1996,39(11),2123
合成路线图解说明:

The condensation of benzophenone (I) with chloroacetic acid methyl ester (II) by means of sodium methoxide in THF gives the epoxide (III), which is treated with methanol/BF3.Et2O, yielding 2-hydroxy-3-methoxy-3,3-diphenylpropionic acid methyl ester (IV). The condensation of (IV) with 4,6-dimethoxy-2-(methylsulfonyl)pyrimidine (V) by means of K2CO3 in DMF affords 2-(4,6-dimethoxypyrimidin-2-yloxy)-3-methoxy-3,3-diphenylpropionic acid methyl ester (VI), which is hydrolyzed with NaOH in hot dioxane/water to give the corresponding free acid (VII). Finally, this compound is submitted to optical resolution, affording LU-135252. Optical resolution of (VIII), the free acid derivative of (IV), with (R)-phenylethylamine, L-proline methyl ester, (S)-1-(4-nitrophenyl)ethylamine or (S)-1-(4--chlorophenyl)ethylamine leads to the enantiomerically pure (S)-enatiomer (IX), which by reaction with 4,6-dimethoxy-2-(methylsulfonyl)pyrimidine (V) directly affords LU-135252.

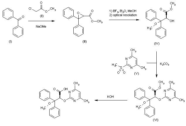
合成路线图解说明:

The condensation of benzophenone (I) with methyl 2-chloroacetate (II) by means of NaOMe in THF gives 3,3-diphenyloxirane-2-carboxylic acid methyl ester (III), which by treatment with BF3/Et2O and methanol, followed by optical resolution, yielded the pure enantiomer 2(S)-hydroxy-3-methoxy-3,3-diphenylpropionic acid methyl ester (IV). The condensation of (IV) with 4,6-dimethyl-2-(methylsulfonyl)pyrimidine (V) by means of K2CO3 in DMF affords 2-(4,6-dimethylpyrimidin-2-yloxy)-3-methoxy-3,3-diphenylpropionic acid methyl ester (VI), which is finally hydrolyzed with KOH in hot dioxane to afford the target propionic acid as a racemic mixture.

Drug Information Express,Drug R&D,Chemical Database,Patent Search.
Copyright © 2006-2026 Drug Future. All rights reserved.Contact Us