【药物名称】IQM-97423
化学结构式(Chemical Structure):
参考文献No.441128
标题:Synthesis and stereochemical structure-activity relationships of 1,3-dioxoperhydropyrido[1, 2-c]pyrimidine derivatives: Potent and selective cholecystokinin-A receptor antagonists
作者:Mart韓-Mart韓ez, M.; Bartolome-Nebreda, J.M.; Gomez-Monterrey, I.; Gonzalez-Muniz, R.; Garcia-Lopez, M.T.; Ballaz, S.; Barber, A.; Fortuno, A.; del Rio, J.; Herranz, R.
来源:J Med Chem 1997,40(21),3402
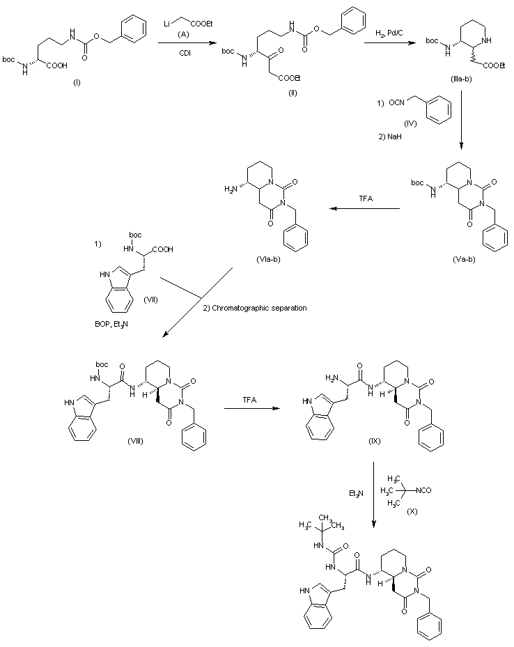
合成路线图解说明:

Condensation of Boc-D-Orn(COOCH2Ph)-OH (I) with the lithium salt of ethyl acetate (A) in the presence of CDI in THF affords derivative (II), which is then hydrogenated over Pd/C to yield the mixture of isomers (IIIa-b). Condensation of (IIIa-b) with benzyl isocyanate in THF, followed by simultaneous reduction and cyclization by means of NaH in THF, provides 1,3-dioxoperhydropyrido[1,2-c]pyrimidine (Va-b), whose N-Boc group is removed by treatment with TFA in CH2Cl2 to furnish amine (VI). Coupling of (VIa-b) to Boc-L-Trp-OH (VII) by means of BOP and Et3N in CH2Cl2, followed by chromatographic separation, gives derivative (VIII), which is subjected to Boc removal by treatment with TFA in CH2Cl2 to provide amine (IX). Finally, amine (IX) is condensed with t-butyl isocyanate in the presence of Et3N in THF to yield the target compound.

参考文献No.555749
标题:5-(Tryptophyl)amino-1,3-dioxoperhydropyrido[1,2-c]pyrimidine-based potent and selective CCK1 receptor antagonists: Structural modifications at the tryptophan domain
作者:Bartolom?Nebreda, J.M.; G髆ez-Monterrey, I.; Garc韆-L髉ez, M.T.; Gonz醠ez-Mu駃z, R.; Mart韓-Martinez, M.; Ballaz, S.; Cenarruzabeitia, E.; LaTorre, M.; Del Rio, J.; Herranz, R.
来源:J Med Chem 1999,42(22),4659
合成路线图解说明:

Condensation of Boc-D-Orn(COOCH2Ph)-OH (I) with the lithium salt of ethyl acetate (A) in the presence of CDI in THF affords derivative (II), which is then hydrogenated over Pd/C to yield the mixture of isomers (IIIa-b). Condensation of (IIIa-b) with benzyl isocyanate in THF, followed by simultaneous reduction and cyclization by means of NaH in THF, provides 1,3-dioxoperhydropyrido[1,2-c]pyrimidine (Va-b), whose N-Boc group is removed by treatment with TFA in CH2Cl2 to furnish amine (VI). Coupling of (VIa-b) to Boc-L-Trp-OH (VII) by means of BOP and Et3N in CH2Cl2, followed by chromatographic separation, gives derivative (VIII), which is subjected to Boc removal by treatment with TFA in CH2Cl2 to provide amine (IX). Finally, amine (IX) is condensed with t-butyl isocyanate in the presence of Et3N in THF to yield the target compound.

Drug Information Express,Drug R&D,Chemical Database,Patent Search.
Copyright © 2006-2026 Drug Future. All rights reserved.Contact Us