【药物名称】
化学结构式(Chemical Structure):
参考文献No.555742
标题:3-O-Desacyl monophosphoryl lipid A derivatives: Synthesis and immunostimulant activities
作者:Johnson, D.A.; Keegan, D.S.; Sowell, C.G.; Livesay, M.T.; Johnson, C.L.; Taubner, L.M.; Harris, A.; Myers, K.R.; Thompson, J.D.; Gustafson, G.L.; Rhodes, M.J.; Ulrich, J.T.; Ward, J.R.; Yorgensen, Y.M.; Cantrell, J.L.; Brookshire, V.G.
来源:J Med Chem 1999,42(22),4640
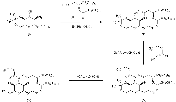
合成路线图解说明:

Acylation of amino alcohol (I) with (R)-3-(n-tetradecanoyloxy)tetradecanoic acid (II) employing 1-(3-dimethylaminopropyl)-3-ethylcarbodiimide methiodide (EDC.MeI) provided amide (III). After hydroxyl group protection with 2,2,2-trichloroethyl chloroformate (A), the resulting acetonide (IV) was hydrolyzed with aqueous AcOH to give (V).

合成路线图解说明:

N-Protection of amino alcohol (VI) under Schotten-Baumann conditions with 2,2,2-trichloroethyl chloroformate (B) aforded carbamate (VII). Subsequent esterification of (VII) with acid (II) provided (VIII), which was followed by acetonide hydrolysis to give diol (IX). Selective protection of the primary hydroxyl of (IX) with 1,1-dimethyl-2,2,2-trichloroethyl chloroformate (C) furnished carbonate (X). Further phosphorylation of the free secondary hydroxyl of (X) with diphenylphosphoryl chloride (D) produced phosphate ester (XI). Conversion of the trimethylsily-ethyl glycoside (XI) into the desired glycosyl chloride (XII) was then accomplished by treatment with alpha,alpha-dichloromethyl methyl ether and ZnCl2.

合成路线图解说明:

Coupling of glycosyl chloride (XII) with glycoside (V) in the presence of silver triflate gave rise to the corresponding beta-disaccharide and subsequent reductive cleavage of the trichloro ethyl-based protecting groups with Zn/AcOH yielded disaccharide (XIII). Further N-acylation of (XIII) with acid (II) in the presence of 2-ethoxy-1-(ethoxycarbonyl)-1,2-dihydroquinoline (EEDQ) furnished amide (XIV). Finally, two-step hydrogenolytic deprotection of the benzyl and phenyl groups of (XIV) and lyophilization in the presence of triethylamine provided the title compound.

合成路线图解说明:

In a related procedure for the synthesis of the protected precursor (XIV), the known bis(trichloroethoxycarbonyl) derivative (XV) was coupled with glycosyl chloride (XII) to give the corresponding disaccharide which was deprotected to (XVI) upon treatment with Zn/AcOH. Bis N-acylation of (XV) with acid (II) in the presence of EEDQ then provided the target intermediate (XIV).

Drug Information Express,Drug R&D,Chemical Database,Patent Search.
Copyright © 2006-2026 Drug Future. All rights reserved.Contact Us