【药物名称】MRE-3008, MRE-3008-F20
化学结构式(Chemical Structure):
参考文献No.555751
标题:Pyrazolo[4,3-e]-1,2,4-triazolo[1,5-c]pyrimidine derivatives as highly potent and selective human A3 adenosine receptor antagonists
作者:Baraldi, P.G.; Cacciari, B.; Ropmagnoli, R.; Spalluto, G.; Klotz, K.N.; Leung, E.; Varani, K.; Gessi, S.; Merighi, S.; Borea, P.A.
来源:J Med Chem 1999,42(22),4473
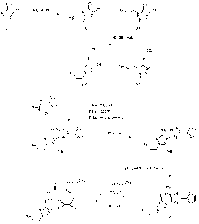
合成路线图解说明:

The alkylation of 5-amino-4-cyanopyrazole (I) with n-propyl iodide led to a 4:1 inseparable mixture of regioisomers (II) and (III). This mixture was transformed into the respective imidates (IV) and (V) through refluxing in triethyl orhoformate. Subsequent addition of 2-furoic hydrazide (VI) to the nitrile group of (IV)+(V), followed by thermal cyclization in diphenyl ether at 260 C furnished the corresponding pyrazolotriazolopyrimidines. The desired regioisomer (VII) was then isolated by flash chromatography. Hydrolysis of (VII) with aqueous HCl afforded the aminopyrazole (VIII), which was further converted to the tricyclic compound (IX) by reaction with cyanamide and p-toluenesulfonic acid. Finally, coupling of (IX) with p-methoxyphenyl isocyanate (X) provided the title urea.

Drug Information Express,Drug R&D,Chemical Database,Patent Search.
Copyright © 2006-2026 Drug Future. All rights reserved.Contact Us