【药物名称】Clavepictine A
化学结构式(Chemical Structure):
参考文献No.555312
标题:Total synthesis of clavepictines A and B. Diastereoselective cyclization of delta-aminoallenes
作者:Ha, J.D.; Cha, J.K.
来源:J Am Chem Soc 1999,121(43),10012
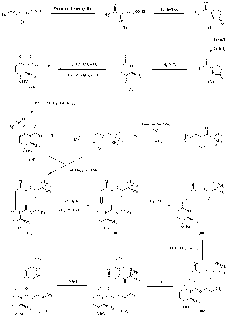
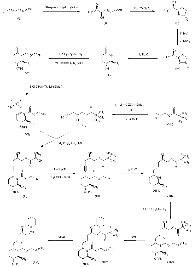
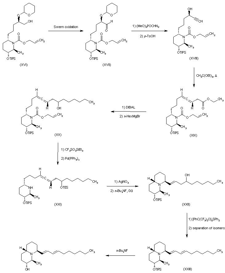
合成路线图解说明:

The enantiopure diol (II) was prepared by the Sharpless asymmetric dihydroxylation of ethyl sorbate (I). Catalytic hydrogenation of (II) generated the gamma-lactone (III). After conversion of the hydroxyl group of (III) to the corresponding mesylate, displacement by NaN3 afforded azide (IV). Reduction of (IV) to amine gave rise to the formation of lactam (V). Sequential protection of alcohol and amide functions provided (VI), which was treated with lithium hexamethyldisilazide and Comin's reagent to furnish the aminovinyl triflate (VII). The enantiopure propargyl alcohol (X), prepared by treatment of (S)-glycidol pivalate (VIII) with lithium trimethylsilylacetylide (IX) followed by desilylation with tetrabutylammonium fluoride, was then coupled with triflate (VII) in the presence of Pd(PPh3)4 and CuI to yield adduct (XI), which was reduced to the trisubstituted piperidine (XII) by means of NaBH3CN and trifluoroacetic acid. Hydrogenation of the alkyne function of (XII) with concomitant removal of the benzyloxycarbonyl group gave (XIII). This was further protected as the allyl carbamate (XIV) by treatment with allyl chloroformate. The secondary alcohol of (XIV) was then protected as the tetrahydropyranyl ether (XV), and subsequent reductive cleavage of the pivaloyl ester with DIBAL liberated the primary alcohol (XVI).

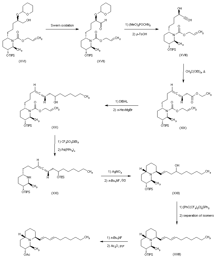
合成路线图解说明:

The required propargyl alcohol (XVIII) was obtained by Swern oxidation of alcohol (XVI) to aldehyde (XVII), followed by condensation with dimethyl(diazomethyl) phosphonate and acid deprotection of the tetrahydropyranyl ether. Subsequent dias-tereoselective orthoester Claisen rearrangement of (XVIII) with triethyl orthoacetate afforded the allenic ester (XIX). The alkyl side-chain was then introduced by sequential reduction to aldehyde with DIBAL and addition of n hexylmagnesium bromide, yielding alcohol (XX) as a diastereomeric mixture. The alcohol group of (XX) was protected as the corresponding triethylsilyl ether and the allyloxycarbonyl group was then removed by treatment with Pd(PPh3)4 yielding (XXI). Silver nitrate-mediated cyclization of the resulting delta-allenic amine (XXI) produced the target cis-quinolizidine as the major diastereoisomer along with minor amounts of its C-10 epimer trans-quinolizidine. Selective removal of the triethylsilyl group gave the quinolizidine alcohol (XXII). Dehydration of the homoallylic alcohol of (XXII) was achieved by treatment with the Martin sulfurane to produce a 10:1 mixture of the triisopropylsilyl-protected clavepictine (XXIII) and the corresponding E,Z-isomer. After desilylation of (XXIII) with tetrabutylammonium fluoride, acetylation by means of Ac2O in pyridine furnished the title acetate ester.

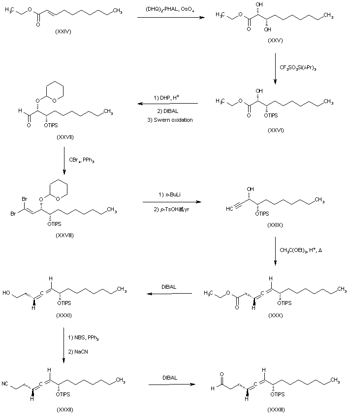
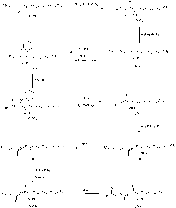
合成路线图解说明:

Sharpless asymmetric dihydroxylation of ethyl (E)-2-decenoate (XXIV) afforded diol (XXV) and subsequent regioselectively protection of the beta-alcohol with triisopropylsilyl triflate provided silyl ether (XXVI). Following protection of the remaining alcohol, as the corresponding tetrahydropyranyl ether, the ester group was converted to aldehyde (XXVII) by reduction with DIBAL and subsequent Swern oxidation. Condensation of (XXVII) with carbon tetrabromide in the presence of PPh3 gave dibromoolefin (XXVIII) which, upon treatment with butyllithium and further acidic deprotection, produced propargyl alcohol (XXIX). Orthoester-Claisen rearrangement of (XXIX) gave allene (XXX). Following reduction of (XXX) with DIBAL, the alcohol (XXXI) was subjected to one-carbon chain elongation by conversion to bromide and then displacement with NaCN. Reduction of the resulting nitrile (XXXII) with DIBAL gave the requisite aldehyde (XXXIII).

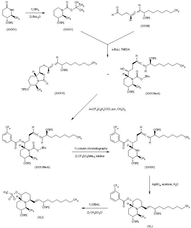
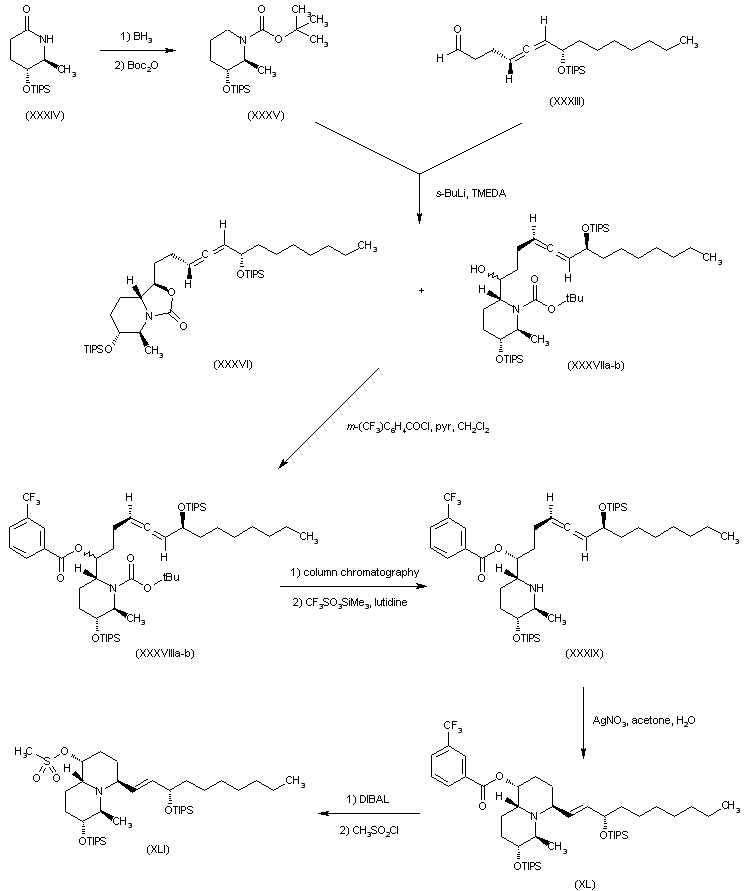
合成路线图解说明:

The O-silylated 4-hydroxy-delta-caprolactam (XXXIV) was reduced with borane and the resulting piperidine was protected as the N-Boc derivative (XXXV). Lithiation employing sec-butyllithium and TMEDA, followed by addition of aldehyde (XXXIII) produced an inseparable 3:1 mixture of the alcohol epimers (XXXVIIa-b) and the trans-oxazolidinone (XXXVI). Acylation of the mixture with m-(trifluoromethyl)benzoyl chloride afforded a diastereomeric mixture of (trifluoromethyl)benzoates (XXXVIIIa-b), separable by column chromatography. Deprotection of the Boc group from the syn-isomer of (XXXVIII) by means of trimethylsilyl triflate and lutidine gave the free amine (XXXIX). Subsequent cyclization of (XXXIX) with AgNO3 afforded the desired cis-quinolizidine (XL) with very high diastereoselectivity. Reductive cleavage of the (trifluoromethyl)benzoyl group of (XL), followed by treatment of the free alcohol with methanesulfonyl chloride provided mesylate (XLI).

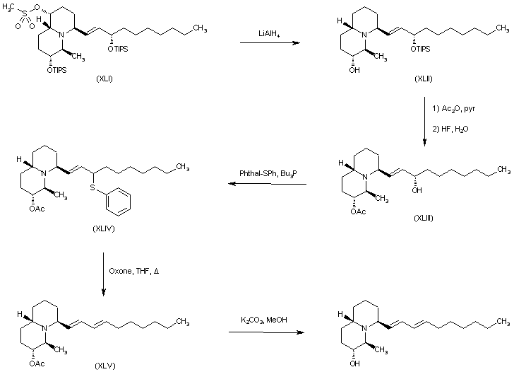
合成路线图解说明:

During the reduction of mesylate (XLI) with LiAlH4, one of the triisopropylsilyl groups was selectively removed to afford alcohol (XLII). In contrast, when the same process was applied to the anti-isomer of (XXXVIII), the desired quinolizidine (XLI) was obtained along with a high amount of rearranged product. Acetylation of alcohol (XLII) and subsequent desilylation with aqueous HF gave the allylic alcohol (XLIII). Dehydration to the desired diene (XLV) was achieved by way of the allyl sulfide (XLIV), prepared by treatment of alcohol (XLIII) with N-phenylthiophthalimide and tributylphosphine. Subsequent oxidation of (XLIV) with oxone and thermal syn elimination of the intermediate sulfoxide furnished the title diene.

合成路线图解说明:

The enantiopure diol (II) was prepared by the Sharpless asymmetric dihydroxylation of ethyl sorbate (I). Catalytic hydrogenation of (II) generated the gamma-lactone (III). After conversion of the hydroxyl group of (III) to the corresponding mesylate, displacement by NaN3 afforded azide (IV). Reduction of (IV) to amine gave rise to the formation of lactam (V). Sequential protection of alcohol and amide functions of (V) provided (VI), which was treated with lithium hexamethyldisilazide and Comin's reagent to furnish the aminovinyl triflate (VII). The enantiopure propargyl alcohol (X), prepared by treatment of (S)-glycidol pivalate (VIII) with lithium trimethylsilylacetylide (IX) followed by desilylation with tetrabutylammonium fluoride, was then coupled with triflate (VII) in the presence of Pd(PPh3)4 and CuI to yield adduct (XI), which was reduced to the trisubstituted piperidine (XII) by means of NaBH3CN and trifluoroacetic acid. Hydrogenation of the alkyne function of (XII) with concomitant removal of the benzyloxycarbonyl group gave (XIII). This was further protected as the allyl carbamate (XIV) by treatment with allyl chloroformate. The secondary alcohol of (XIV) was then protected as the tetrahydropyranyl ether (XV), and subsequent reductive cleavage of the pivaloyl ester with DIBAL liberated the primary alcohol (XVI).

合成路线图解说明:

The required propargyl alcohol (XVIII) was obtained by Swern oxidation of alcohol (XVI) to aldehyde (XVII), followed by condensation with dimethyl (diazomethyl) phosphonate and acid deprotection of the tetrahydropyranyl ether. Subsequent dias-tereoselective orthoester Claisen rearrangement of (XVIII) with triethyl orthoacetate afforded the allenic ester (XIX). The alkyl side-chain was then introduced by sequential reduction to aldehyde with DIBAL and addition of n hexylmagnesium bromide, yielding alcohol (XX) as a diastereomeric mixture. The alcohol group of (XX) was protected as the corresponding triethylsilyl ether and the allyloxycarbonyl group was then removed by treatment with Pd(PPh3)4 yielding (XXI). Silver nitrate-mediated cyclization of the resulting delta-allenic amine (XXI) produced the target cis-quinolizidine as the major diastereoisomer along with minor amounts of its C-10 epimer trans-quinolizidine. Selective removal of the triethylsilyl group gave the quinolizidine alcohol (XXII). Dehydration of the homoallylic alcohol of (XXII) was achieved by treatment with the Martin sulfurane to produce a 10:1 mixture of the triisopropylsilyl-protected clavepictine (XXIII) and the corresponding E,Z-isomer. Finally, silyl ether (XXIII) was deprotected by treatment with tetrabutylammonium fluoride.

合成路线图解说明:

Sharpless asymmetric dihydroxylation of ethyl (E)-2-decenoate (XXIV) afforded diol (XXV) and subsequent regioselectively protection of the beta-alcohol with triisopropylsilyl triflate provided silyl ether (XXVI). Following protection of the remaining alcohol, as the corresponding tetrahydropyranyl ether, the ester group was converted to aldehyde (XXVII) by reduction with DIBAL and subsequent Swern oxidation. Condensation of (XXVII) with carbon tetrabromide in the presence of PPh3 gave dibromoolefin (XXVIII) which, upon treatment with butyllithium and further acidic deprotection, produced propargyl alcohol (XXIX). Orthoester-Claisen rearrangement of (XXIX) gave allene (XXX). Following reduction of (XXX) with DIBAL, the alcohol (XXXI) was subjected to one-carbon chain elongation by conversion to bromide and then displacement with NaCN. Reduction of the resulting nitrile (XXXII) with DIBAL gave the requisite aldehyde (XXXIII).

合成路线图解说明:

The O-silylated 4-hydroxy-delta-caprolactam (XXXIV) was reduced with borane and the resulting piperidine was protected as the N-Boc derivative (XXXV). Lithiation employing sec-butyllithium and TMEDA, followed by addition of aldehyde (XXXIII) produ-ced an inseparable 3:1 mixture of the alcohol epimers (XXXVIIa-b) and the trans-oxazolidinone (XXXVI). Acylation of the mixture with m-(trifluoromethyl)benzoyl chloride afforded a diastereomeric mixture of (trifluoromethyl)benzoates (XXXVIIIa-b), separable by column chromatography. Deprotection of the Boc group from the syn-isomer of (XXXVIII) by means of trimethylsilyl triflate and lutidine gave the free amine (XXXIX). Subsequent cyclization of (XXXIX) with AgNO3 afforded the desired cis-quinolizidine (XL) with very high diastereoselectivity. Reductive cleavage of the (trifluoromethyl)benzoyl group of (XL), followed by treatment of the free alcohol with methanesulfonyl chloride provided mesylate (XLI).

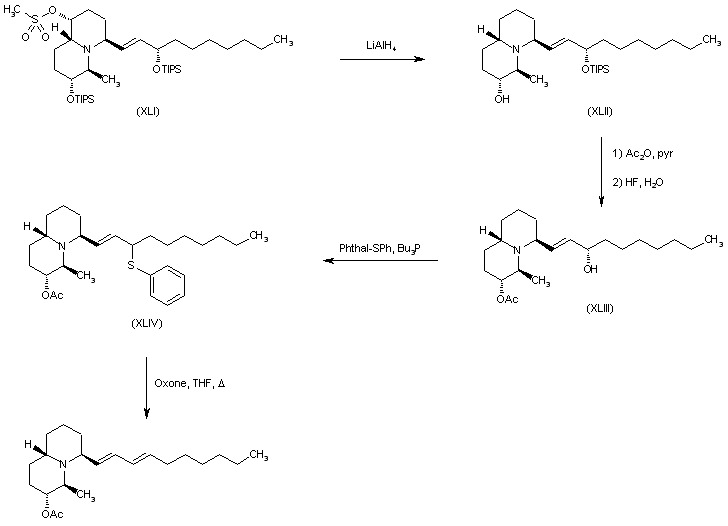
合成路线图解说明:

During the reduction of mesylate (XLI) with LiAlH4, one of the triisopropylsilyl groups was selectively removed to afford alcohol (XLII). In contrast, when the same process was applied to the anti-isomer of (XXXVIII), the desired quinolizidine (XLI) was obtained along with a high amount of rearranged product. Acetylation of alcohol (XLII) and subsequent desilylation with aqueous HF gave the allylic alcohol (XLIII). Dehydration to the desired diene (XLV) was achieved by way of the allyl sulfide (XLIV), prepared by treatment of alcohol (XLIII) with N-phenylthiophthalimide and tributylphosphine. Subsequent oxidation of (XLIV) with oxone and thermal syn elimination of the intermediate sulfoxide gave diene (XLV). Finally, the title compound was obtained by basic hydrolysis of the acetate ester of (XLV) with K2CO3 in MeOH.

参考文献No.654810
标题:Application of chiral building blocks to the synthesis of drugs
作者:Toyooka, N.; Nemoto, H.
来源:Drugs Fut 2002,27(2),143
合成路线图解说明:

The hydrolysis of the chiral isopropylidene ketal (I) with HCl in refluxing methanol, followed by selective monosilylation of the resulting primary OH group with tert-butyldiphenylsilyl chloride, protection of the secondary OH group with MOM-Cl and Hunig base, and desilylation with HF and pyridine gives the perhydroquinolizine-4-methanol derivative (II).The reaction of the OH group of (II) with I2 and PPh3? and deiodination of the resulting iodo derivative with Bu3SnH and AIBN yields the 4-methyl derivative (III), which is condensed with trans-2-nonenal and BuLi, and treated with Na/Hg to afford the 6-(1,3-decadienyl) derivative (IV). The deprotection of (IV) with HCl in refluxing methanol provides the secondary alcohol V), which is finally acetylated with acetic anhydride and pyridine to furnish the target (-)-clavepictine A.

合成路线图解说明:

The hydrolysis of the chiral isopropylidene ketal (I) with HCl in refluxing methanol, followed by selective monosilylation of the resulting primary OH group with tert-butyldiphenylsilyl chloride, protection of the secondary OH group with MOM-Cl and Hunig base, and desilylation with HF and pyridine gives the perhydroquinolizine-4-methanol derivative (II).The reaction of the OH group of (II) with I2 and PPh3, and deiodination of the resulting iodo derivative with Bu3SnH and AIBN yields the 4-methyl derivative (III), which is condensed with trans-2-nonenal and BuLi, and treated with Na/Hg to afford the 6-(1,3-decadienyl) derivative (IV).Finally the deprotection of (IV) with HCl in refluxing methanol provides the target (+)-clavepictine B.

合成路线图解说明:

The protection of the OH group of (2R,3S)-1-benzyl-3-hydroxy-6-oxopiperidine-2-carboxylic acid ethyl ester (I) with methoxymethyl chloride and Hunig base in refluxing chloroform, followed by reduction of the ester group with super-hydride in THF gives the (hydroxymethyl)piperidinone (II). The reduction of the hydroxymethyl group of (II) by reaction with diphenyl disulfide and tributylphosphine in pyridine, followed by desulfurization with RaNi (W-4) in ethanol yields (2S,3S)-1-benzyl-3-(methoxymethoxy)-2-methylpiperidin-6-one (III). The reaction of (III) with HCl eliminates the MOM group, and the resulting OH is benzylated with benzyl bromide and NaH, the resulting product is treated with the Lawesson's reagent to afford (2S,3S)-1-benzyl-3-benzyloxy-2-methylpiperidine-6-thione (IV). The condensation of (IV) with bromoacetic acid methyl ester by means of PPh3 and TEA in acetonitrile affords 2-(1-benzyl-3(S)-benzyloxy-2(S).methylpiperidin-6-ylidene)acetic acid methyl ester (V), which is reduced with H2 over Pd(OH)2 and reprotected to provide 2-(1-benzyl-3(S)-benzyloxy-2(S)-methylpiperidin-6(S)-yl)acetic acid methyl ester (VI). The reduction of the ester group of (VI) with superhydride, followed by Swern oxidation of the resulting alcohol, and a Wittig condensation with phosphorane (VII) and BuLi in THF gives the adduct (VIII). Finally the deprotection of the benzyl groups of (VIII) H2 over Pd(OH)2 and Na in liquid NH3, followed by cleavage of the dioxolane ring with Ts-OH in acetone yielded the target prosafrinine.

合成路线图解说明:

The reduction of 2-(1-benzyl-3(S)-benzyloxy-2(S)-methylpiperidin-6-ylidene)acetic acid methyl ester (I) with NaBH3CN and TFA in dichloromethane gives 2-(1-benzyl-3(S)-benzyloxy-2(S)-methylpiperidin-6-yl)acetic acid methyl ester (II), which is N-debenzylated with H2 over Pd(OH)2, reprotected with methyl chloroformate and K2CO3 , and reduced with superhydride to yield (2S,3S,6S)-3-benzyloxy-6-(2-hydroxyethyl)-2-methylpiperidine-1-carboxylic acid methyl ester (III). The Swern oxidation of the OH group of (III), followed by a Wittig condensation with phosphorane (IV) and BuLi and oxidation of the terminal double bond with O2, CuCl and PdCl2 in DMF/water affords the precursor (V). Finally compound (V) is hydrogenated and deprotected by treatment with H2 over Pd(OH)2 and with Tms-I in refluxing chloroform to provide the target iso-6-cassine.

合成路线图解说明:

The benzylation of the OH group of (2S,3S)-1-benzyl-2-(hydroxymethyl)-3-(methoxymethoxy)piperidin-6-one (I) with benzyl bromide and NaH, followed by deprotection of the methoxymethyl ether and oxidation with PCC and AcONa gives 1-benzyl-2(S)-(benzyloxymethyl)piperidine-3,6-dione (II), which is selectively O-debenzylated with H2 over Pd(OH)2 and reduced with NaBH(OAc)3 to yield (2S,3R)-1-benzyl-3-hydroxy-2-(hydroxymethyl)piperidin-6-one (III). The reaction of (III) with 2,2-dimethoxypropane and Ts-OH affords the cyclic isopropylidene ketal (IV), which is treated with Lawesson's reagent to provide the piperidinethione (V). The condensation of (V) with methyl bromoacetate by means of PPh3 and TEA gives the piperidin-2-ylideneacetic ester (VI), which is reduced with NaBH3CN in dichloromethane to yield the piperidinylacetic ester (VII). The reduction of the ester group of (VII) with LiAlH4 affords the piperidinylethanol derivative (VIII), which is submitted to a Swern oxidation to provide the piperidinylacetaldehyde (X). The Wittig condensation of the aldehyde (X) with the phosphorane (XI) by means of BuLi in THF gives the unsaturated adduct (XI), which is finally hydrogenated with H2 over Pd(OH)2 and deprotected with HCl in ethanol/water to yield the target prosophylline.

合成路线图解说明:

The reaction of (2S,3R)-1-benzyl-3-hydroxy-2-(hydroxymethyl)piperidin-6-one (I) with Ac2O and pyridine gives the diacetate (II), which is treated with Lawesson's reagent, and the resulting thione condensed with methyl bromoacetate to yield the piperidnyl-2-ylideneacetic ester (III). The reduction of (III) with NaBH3CN in THF/dichloromethane affords the piperidinylacetic ester (IV), which is reduced with LiAlH4 and treated with 2,2-dimethoxypropane and Ts-OH to provide the isopropylidene ketal (V). The Swern oxidation of (V) gives the corresponding acetaldehyde derivative (VI), which is submitted to a Wittig condensation with the phosphorane (VII) and BuLi to yield the unsaturated adduct (VIII). Finally this compound is hydrogenated with H2 over Pd(OH)2, deprotected with HCl in ethanol/water, and isomerized by a treatment with Ts-OH in acetone to afford the target prosopinine

合成路线图解说明:

The reduction of (2R,3R,6S)--3-butyl-6-[2-(tert-butyldimethylsilyloxy)ethyl]piperidine-1,2-dicarboxylic acid dimethyl ester (I), followed by a Swern oxidation and a Wittig condensation with (ethoxycarbonylmethyl)triphenylphosphonium bromide gives the piperidinylacrylate ester (II). The reduction of the double bond of (II) with H2 over Rh/C, followed by reduction of the ester group with superhydride, protection with MOM-Cl and Hunig base, and finally desilylation with TBAF yields (2S,3R,6S)- 3-butyl-6-(2-hydroxyethyl)-2-[3-(methoxymethoxy)propyl]piperidine-1-carboxylic acid methyl ester (III). The Swern oxidation of (III), followed by a Wittig condensation with methyltriphenylphosphonium bromide and BuLi affords (2S,3R,6S)-6-allyl-3-butyl-2-[3-(methoxymethoxy)propyl]piperidine-1-carboxylic acid methyl ester (IV). Finally this compound is hydrogenated with H2 over Pd(OH)2, deprotected by mean of HCl in refluxing methanol, and cyclized by means of CBr4, PPh3 and TEA to furnish the target indolizidine 223

合成路线图解说明:

The reduction of (2R,3R,6S)-3-ethyl-6-[2-(tert-butyldimethylsilyloxy)ethyl]piperidine-1,2-dicarboxylic acid dimethyl ester (I), followed by a Swern oxidation, a Wittig condensation with MOMO-(CH2)3-PPh3Br and BuLi, a hydrogenation with H2 over Pd/C, and finally a desilylation with TBAF gives (2S,3R,6S)-3-ethyl-6-(2-hydroxyethyl)-2-[4-(methoxymethoxy)butyl]piperidine-1-carboxylic acid methyl ester (II). The Swern oxidation of (II), followed by a Wittig condensation with methyltriphenylphosphonium bromide and BuLi yields the corresponding 6-allyl derivative (III), which is deprotected with iPr-S-Li and with HCl in refluxing ethanol and finally cyclized by means of CBr4, PPh3 and TEA to afford the target C1-epimer of quinolizidine 2071

合成路线图解说明:

The condensation of (3R,4S,6S,9aS)-3-(methoxymethoxy)-4-methyl-6-(phenylsulfonylmethyl)perhydroquinolizine (I) with trans-2-heptenal, followed by a treatment wit Na/Hg gives the 1,3-octadienyl-perhydroquinolizine (II), which is deprotected with HCl in refluxing methanol yielding the alcohol (III). Finally this compound is acetylated with acetic anhydride and pyridine to afford the target (-)-pictamine.

合成路线图解说明:

The condensation of the chiral octahydroquinoline (I) with phenyl(phenylsulfanylmethyl)sulfone by means of BuLi in THF gives the perhydroquinoline adduct (II), which is treated with Bu3SnH and AIBN in refluxing benzene to yield the phenylsulfonylmethyl derivative (III). The reduction of the ketonic group of (III) with NaBH4, followed by elimination of the resulting OH group by reaction with thiocarbonyldiimidazole and then with Bu3SnH in refluxing benzene affords the chiral perhydroquinoline-1-carboxylic acid methyl ester derivative (IV). Decarboxylation of (IV) by means of Pr-S-Li in THF/HMPA, followed by reprotection with Boc2O in refluxing benzene provides the chiral tert-butyl carbamate (V), which is condensed with trans-2-heptenal by means of BuLi in THF and then treated with Na/Hg in methanol to give the 5-(1,3-octadienyl) derivative (VI). Finally compound (VI) is decarboxylated by means of HCl in refluxing methanol o afford the target lepadin B.

Drug Information Express,Drug R&D,Chemical Database,Patent Search.
Copyright © 2006-2026 Drug Future. All rights reserved.Contact Us