【药物名称】
化学结构式(Chemical Structure):
参考文献No.27588
标题:Novel imidazole deriv. and process for producing the same
作者:Miyachi, H.; Okazaki, K.; Kiyota, H.; Segawa, M. (Kyorin Pharmaceutical Co., Ltd.)
来源:EP 0733621; US 5932607; US 6103747; WO 9515951
合成路线图解说明:

Alkylation of diphenylacetonitrile (I) with dibromoethane provided bromide (II). This was condensed with 2-methylimidazole (III) in the presence of Et3N in DMF to afford the substituted imidazole (IV). Finally, hydrolysis of the cyano group of (IV) with 70% sulfuric acid produced the target amide.

合成路线图解说明:

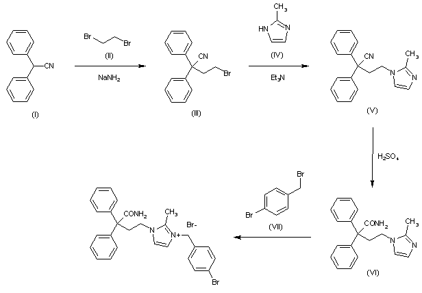
Treatment of acetonitrile derivative (I) with dibromoethane (II) in toluene in the presence of NaNH2 affords bromo compound (III), which is then condensed with imidazole derivative (IV) by means of Et3N in DMF to provide compound (V). Hydrolysis of the cyano group of (V) with aqueous H2SO4 yields amide derivative (VI), which is finally subjected to alkyl quaternization by reaction with bromobenzyl bromide (VI) in acetone to furnish the desired product.

参考文献No.555538
标题:Design, synthesis and antimuscarinic activity of some imidazolium derivatives
作者:Miyachi, H.; Kiyota, H.; Segawa, M.
来源:Bioorg Med Chem Lett 1999,9(20),3003
合成路线图解说明:

Treatment of acetonitrile derivative (I) with dibromoethane (II) in toluene in the presence of NaNH2 affords bromo compound (III), which is then condensed with imidazole derivative (IV) by means of Et3N in DMF to provide compound (V). Hydrolysis of the cyano group of (V) with aqueous H2SO4 yields amide derivative (VI), which is finally subjected to alkyl quaternization by reaction with bromobenzyl bromide (VI) in acetone to furnish the desired product.

Drug Information Express,Drug R&D,Chemical Database,Patent Search.
Copyright © 2006-2026 Drug Future. All rights reserved.Contact Us