【药物名称】SUN-N5030
化学结构式(Chemical Structure):
参考文献No.555537
标题:A novel class of Na+ and Ca2+ channel dual blockers with highly potent anti-ischemic effects
作者:Annoura, H.; Nakanishi, K.; Uesugi, M.; Fukunaga, A.; Miyajima, A.; Tamura-Horikawa, Y.; Tamura, S.
来源:Bioorg Med Chem Lett 1999,9(20),2999
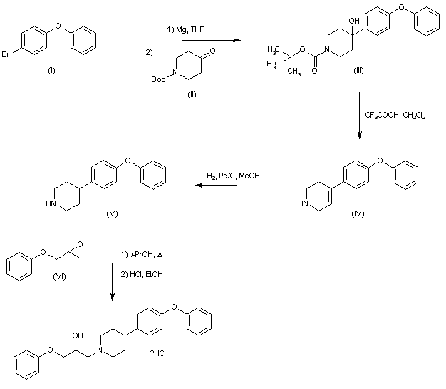
合成路线图解说明:

Addition of the Grignard reagent prepared from 4-bromodiphenyl ether (I) to N-Boc-4-piperidone (II) gave the 4-hydroxy-4-arylpiperidine (III). Deprotection of the Boc group of (III) with concomitant dehydration of the tertiary alcohol by means of trifluoroacetic acid afforded the tetrahydropyridine (IV), which was further hydrogenated to piperidine (V) using Pd/C as the catalyst. Condensation of pieridine (V) with phenyl glycidyl ether (VI) in refluxing isopropanol yielded the desired amino alcohol, which was finally isolated as the corresponding hydrochloride salt.

Drug Information Express,Drug R&D,Chemical Database,Patent Search.
Copyright © 2006-2026 Drug Future. All rights reserved.Contact Us