【药物名称】
化学结构式(Chemical Structure):
参考文献No.41013
标题:2-(Dibenzofuranyl)- and 2-(dibenzothienyl)-carbapenems, compsns. containing such cpds. and methods of use
作者:Greenlee, M.L.; Laub, J.B. (Merck & Co., Inc.)
来源:GB 2301820
合成路线图解说明:

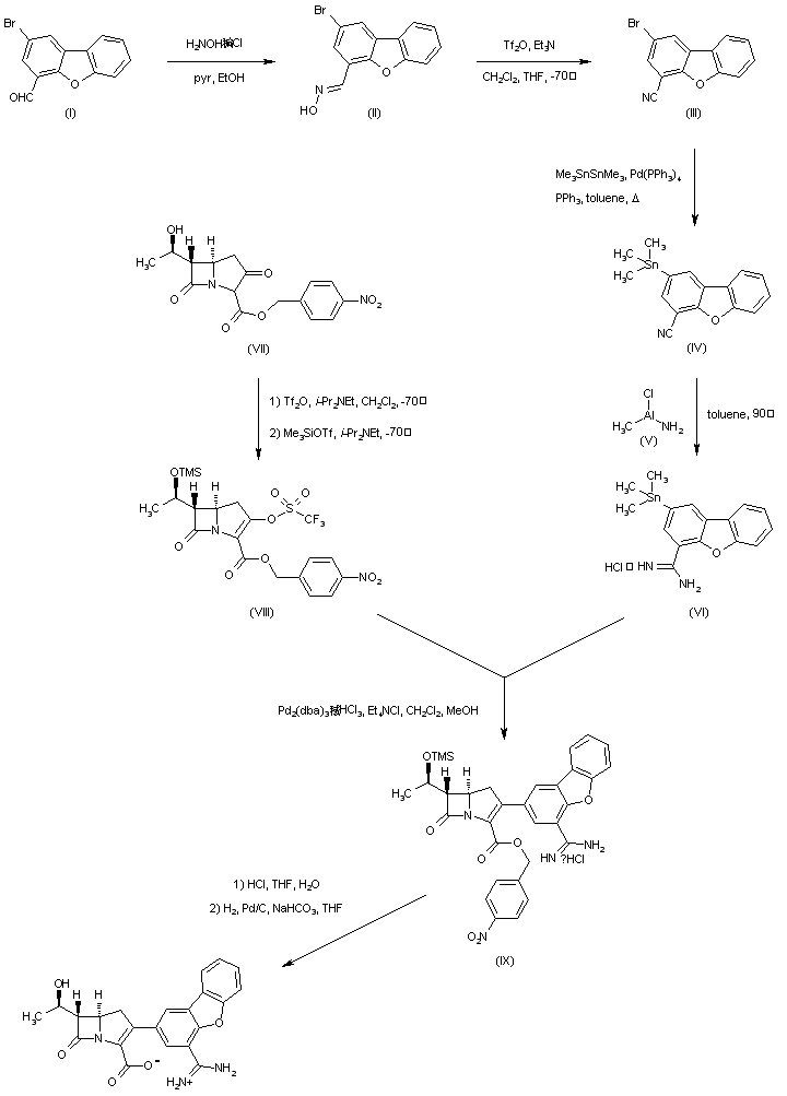
1-Formyl-3-bromodibenzofuran (I) was converted to oxime (II) by reaction with hydroxylamine.HCl in pyridine-ethanol. Dehydration of oxime (II) to nitrile (III) was accomplished by treatment with trifluoromethanesulfonic anhydride and triethylamine. Subsequent reaction of (III) with hexamethylditin in the presence of palladium catalyst produced the trimethylstannane (IV). Addition of methyl-chloroaluminum amide (V) to the cyano group of (IV) then furnished the amidinium chloride (VI). The known 2-oxocarbapenam (VII) was converted to enol triflate by treatment with trifluoromethanesulfonic anhydride and diisopropyl ethylamine and subsequently protected as the trimethylsilyl ether (VIII) with trimethylsilyl triflate. Coupling of vinyl triflate (VIII) with stannane (VI) employing Pd2(dba)3.CHCl3 as the catalyst produced the dibenzofuranyl carbapenem (IX). Then, acid hydrolysis of the silyl group of (IX), followed by hydrogenolysis of the p-nitrobenzyl ester gave the title compound.

参考文献No.555533
标题:The synthesis and anti-MRSA activity of amidinium-substituted 2-dibenzofuranylcarbapenems
作者:Laub, J.B.; Grrenlee, M.L.; DiNinno, F.; Huber, J.L.; Sundelof, J.G.
来源:Bioorg Med Chem Lett 1999,9(20),2973
合成路线图解说明:

1-Formyl-3-bromodibenzofuran (I) was converted to oxime (II) by reaction with hydroxylamine.HCl in pyridine-ethanol. Dehydration of oxime (II) to nitrile (III) was accomplished by treatment with trifluoromethanesulfonic anhydride and triethylamine. Subsequent reaction of (III) with hexamethylditin in the presence of palladium catalyst produced the trimethylstannane (IV). Addition of methyl-chloroaluminum amide (V) to the cyano group of (IV) then furnished the amidinium chloride (VI). The known 2-oxocarbapenam (VII) was converted to enol triflate by treatment with trifluoromethanesulfonic anhydride and diisopropyl ethylamine and subsequently protected as the trimethylsilyl ether (VIII) with trimethylsilyl triflate. Coupling of vinyl triflate (VIII) with stannane (VI) employing Pd2(dba)3.CHCl3 as the catalyst produced the dibenzofuranyl carbapenem (IX). Then, acid hydrolysis of the silyl group of (IX), followed by hydrogenolysis of the p-nitrobenzyl ester gave the title compound.

Drug Information Express,Drug R&D,Chemical Database,Patent Search.
Copyright © 2006-2026 Drug Future. All rights reserved.Contact Us