【药物名称】N276-26
化学结构式(Chemical Structure):
参考文献No.40171
标题:1,4-Dihydropyridine derivs.
作者:Tasaka, S.; Omori, H.; Tanabe, H.; Gomi, N.; Kiue, A. (Nikken Chemicals Co., Ltd.)
来源:EP 1055672; JP 2000044559; US 6306853; WO 9941250
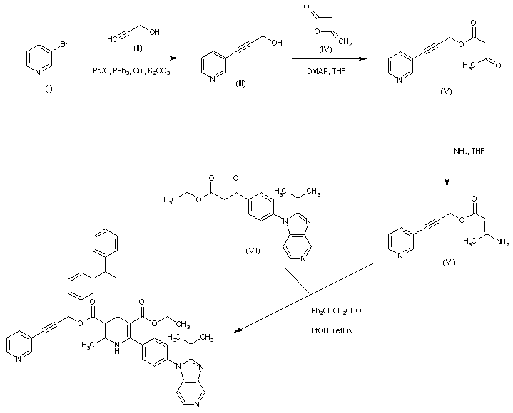
合成路线图解说明:

Palladium-catalyzed coupling of 3-bromopyridine (I) with propargyl alcohol (II) produced 3-(3-pyridyl)propargyl alcohol (III). Reaction of alcohol (III) with diketene (IV) in the presence of DMAP gave the acetoacetate ester (V), which was subsequently treated with ammonia in THF to furnish the enamino ester (VI). The title dihydropyridine derivative was then obtained by Hantzsch's synthesis upon condensation between ethyl 4-(2-isopropylimidazo[4,5-c]pyridin-1-yl)benzoylacetate (VII), enamino ester (VI) and 3,3-diphenylpropanal in refluxing EtOH.

Drug Information Express,Drug R&D,Chemical Database,Patent Search.
Copyright © 2006-2026 Drug Future. All rights reserved.Contact Us