【药物名称】RP-463
化学结构式(Chemical Structure):
参考文献No.555868
标题:RP463: A stabilized technetium-99m complex of a hydroazino nicotinamide derivatized chemotactic peptide for infection imaging
作者:Edwards, D.S.; et al.
来源:Bioconjugate Chem 1999,10(5),884
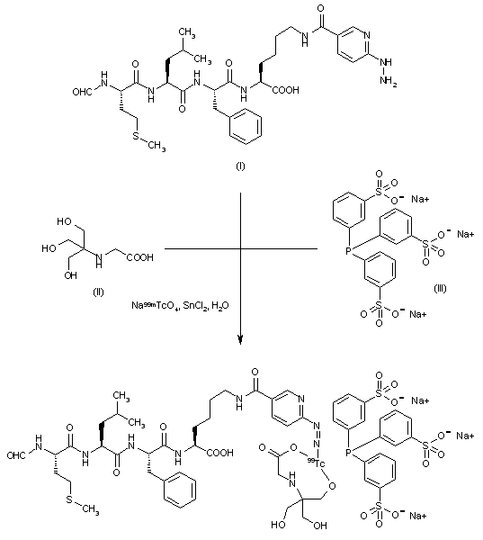
合成路线图解说明:

The title compound was synthesized from the known formyl tetrapeptide conjugated to 6-hydrazinonicotinic acid (I) by complexation with tricine (II), trisodium triphenylphosphine-3,3',3''-trisulfonate (III) and sodium 99mTc-pertechnetate, either in two steps by first complexation of the stannous chloride-reduced technetium with (I) and (II), and then reaction with (III), or in one step by direct reduction of Na99mTcO4 with SnCl2 in the presence of (I), (II) and (III). The compound was also formed in the absence of SnCl2.

Drug Information Express,Drug R&D,Chemical Database,Patent Search.
Copyright © 2006-2026 Drug Future. All rights reserved.Contact Us