【药物名称】TT-13
化学结构式(Chemical Structure):
参考文献No.54920
标题:Triptycene analogs
作者:Hua, D.H.; Perchellet, J.-P. (Kansas State University)
来源:WO 0228808
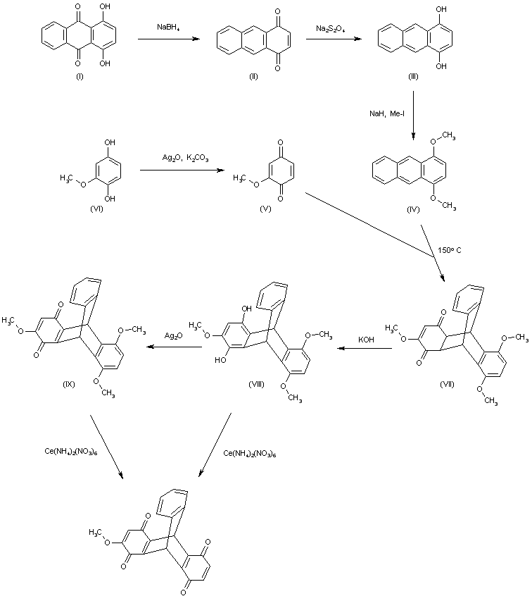
合成路线图解说明:

The reduction of 1,4-dihydroxy-9,10-anthraquinone (I) with NaBH4 in methanol gives 1,4-anthraquinone (II), which is reduced with Na2S2O4 in dioxane/water to yield 1,4-anthracenediol (III). The methylation of (III) with NaH and Me-I in DMF affords 1,4-dimethoxyanthracene (IV), which is condensed with 2-methoxy-1,4-benzoquinone (V) (obtained by oxidation of 2-methoxyhydroquinone (VI) with Ag2O and K2CO3 in benzene) by heating at 150 C with toluene in a sealed tube to provide the triptycene derivative (VII). The reaction of (VII) with KOH in dioxane/water gives the triptycenediol (VIII), which is oxidized with Ag2O in refluxing acetone to yield the triptycenequinone (IX). Finally, this compound is oxidized with Ce(NH4)2(NO3)6 to afford the target triptycenediquinone.

合成路线图解说明:

The reduction of 1,4-dihydroxy-9,10-anthraquinone (I) with NaBH4 in methanol gives 1,4-anthraquinone (II), which is reduced with Na2S2O4 in dioxane/water to yield 1,4-anthracenediol (III). The methylation of (III) with NaH and Me-I in DMF affords 1,4-dimethoxyanthracene (IV), which is condensed with 2-methoxy-1,4-benzoquinone (V) (obtained by oxidation of 2-methoxyhydroquinone (VI) with Ag2O and K2CO3 in benzene) by heating at 150 C with toluene in a sealed tube to provide the triptycene derivative (VII). The reaction of (VII) with KOH in dioxane/water gives the triptycenediol (VIII), which is oxidized with Ag2O in refluxing acetone to yield the triptycenequinone (IX). The bromination of (IX) with NBS in hot DMF affords the bromo derivative (X), which is finally oxidized with Ce(NH4)2(NO3)6 to afford the target triptycenediquinone.

合成路线图解说明:

The Diels-Alder cycloaddition between 1,4-dimethoxyanthracene (IV) and methoxyhydroquinone (V) in the presence of Ag2O and ZnI2 yields the triptycene quinone (VI). This compound has also been obtained by stepwise oxidation of (V) to methoxybenzoquinone (VII) with Ag2O, followed by Diels-Alder condensation with 1,4-dimethoxyanthracene (IV) to produce adduct (VIII) as a mixture of two stereoisomers. After isomerization of ketones (VIII) with KOH, oxidation with Ag2O leads to quinone (VI). Mono-quinone (VI) is oxidized to the bis-quinone (IX) employing ceric ammonium nitrate. Then, regioselective bromination of (IX) with N-bromosuccinimide (NBS) furnishes bromoquinone (X). Alternatively, compound (XI) is obtained from the bromination of (VI) with NBS, followed by oxidation with ceric ammonium nitrate). When bis-quinone (X) in THF solution is treated with dimethylamine gas (containing small amounts of methylamine), the title compound is obtained a regioisomeric mixture of methylamino derivatives, along with the expected dimethylamino analogues, which are separated by column chromatography.

Drug Information Express,Drug R&D,Chemical Database,Patent Search.
Copyright © 2006-2026 Drug Future. All rights reserved.Contact Us