【药物名称】QYL-972
化学结构式(Chemical Structure):
参考文献No.546565
标题:Synthesis and antiviral activity of phosphoralaninate derivatives of methylenecyclopropane analogues of nucleosides
作者:Kern, E.R.; Qiu, Y.-L.; Ptak, R.G.; Breitenbach, J.M.; Zemlicka, J.; Drach, J.C.; Cheng, Y.-C.; Lin, J.-S.
来源:Antivir Res 1999,43(1),37
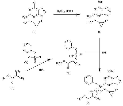
合成路线图解说明:

The reaction of 6-chloro-9-[2-(hydroxymethyl)cyclopropylidenemethyl]purine-2-amine (I) with methanol and K2CO3 gives of 9-[2-(hydroxymethyl)cyclopropylidenemethyl]-6-methoxypurine-2-amine (II) which is then condensed with the phosphorylated L-alanine ester (III) by means of N-methylimidazole (NMI) in pyridine/THF. The intermediate the phosphorylated L-alanine ester (III) has been obtained by condensation of L-alanine methyl ester (IV) with phenyl dichlorophosphate (V) by means of TEA in dichloromethane.

Drug Information Express,Drug R&D,Chemical Database,Patent Search.
Copyright © 2006-2026 Drug Future. All rights reserved.Contact Us