【药物名称】E-6039, E-6006 citrate
化学结构式(Chemical Structure):
参考文献No.40886
标题:Thienylazolylalcoxyethanamines, their preparation and their application as medicaments
作者:Frigola-Constansa, J.; Andaluz-Mataro, B.; Merce-Vidal, R. (Laboratorios del Dr. Esteve, SA)
来源:WO 9952525
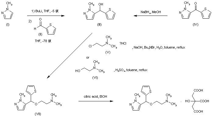
合成路线图解说明:

Lithiation of N-methylpyrazole (I) by means of n-butyllithium, followed by addition to 2-thiophenecarboxaldehyde (II), afforded carbinol (III). This compound was alternatively obtained by sodium borohydride reduction of diheteroaryl ketone (IV). Condensation of alcohol (III) with either 2-(dimethylamino)ethyl chloride (IV) in the presence of NaOH or 2-(dimethylamino)ethanol (VI) under catalysis of H2SO4 furnished ether (VII). This compound was finally converted to the title citrate salt by treatment with citric acid in EtOH.

Drug Information Express,Drug R&D,Chemical Database,Patent Search.
Copyright © 2006-2026 Drug Future. All rights reserved.Contact Us