【药物名称】
化学结构式(Chemical Structure):
参考文献No.552316
标题:Synthesis and anticancer activities of 4-oxobenzopyrano[2,3-d]pyrimidines
作者:Hadfield, J.A.; Pavlidis, V.H.; Perry, P.J.; McGown, A.T.
来源:Anti-Cancer Drugs 1999,10(6),591
合成路线图解说明:

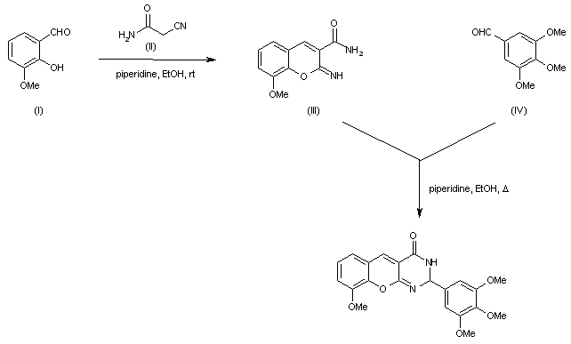
Condensation of 3-methoxysalicylaldehyde (I) with cyanoacetamide (II) in the presence of piperidine gave rise to the carbamoyl iminochromene (III). Subsequent condensation of (III) with 3,4,5-trimethoxybenzaldehyde furnished the title compound.

Drug Information Express,Drug R&D,Chemical Database,Patent Search.
Copyright © 2006-2026 Drug Future. All rights reserved.Contact Us