【药物名称】CGS-34043
化学结构式(Chemical Structure):
参考文献No.565863
标题:Potent and selective non-peptidic inhibitors of endothelin-converting enzyme-1 with sustained duration of action
作者:De Lombaert, S.; Blanchard, L.; Stamford, L.B.; Tan, J.; Wallace, E.M.; Satoh, Y.; Fitt, J.; Hoyer, D.; Simonsbergen, D.; Moliterni, J.; Marcopoulos, N.; Savage, P.; Chou, M.; Trapani, A.J.; Jeng, A.Y.
来源:J Med Chem 2000,43(3),488
合成路线图解说明:

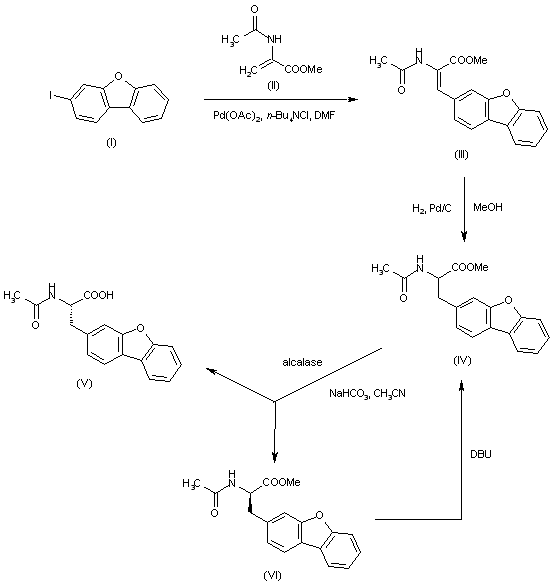
The chiral amino acid (V) was prepared by two alternative procedures. Heck coupling between 3-iododibenzofuran (I) and methyl 2-acetamidoacrylate (II) in the presence of palladium diacetate afforded the alpha,beta-unsaturated alpha-amido ester (III), which was hydrogenated over Pd/C to yield the racemic saturated ester (IV). Incubation of (IV) with alcalase led to the enantiospecific hydrolysis of the S-enantiomer to give the required S-carboxylic acid (V). The unreacted R-enantiomer (VI) was recycled by epimerization in the presence of DBU.

合成路线图解说明:

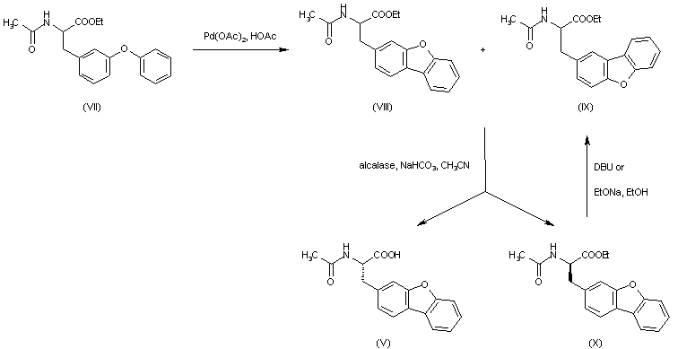
In a different procedure, biaryl formation via ortho palladation of diaryl ether (VII) provided the desired dibenzofuran (VIII) along with a small amount of regioisomer (IX). Kinetic resolution with alcalase produced the S-carboxylic acid (V), whereas the R-ester (X) was recycled by base-catalyzed epimerization.

合成路线图解说明:

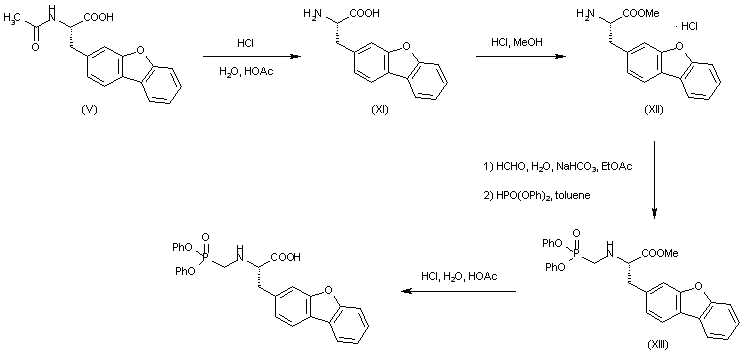
Acid hydrolysis of the acetamido group of (V) gave amino acid (XI), which was further esterified with HCl in MeOH yielding ester (XII). Condensation of amino ester (XII) with formaldehyde, followed by reaction of the intermediate trimeric hexahydrotriazine with diphenyl phosphite furnished alpha-aminophosphonate (XIII). Finally, acid hydrolysis of carboxylate and phosphonate ester groups of (XIII) gave rise to the title compound.

合成路线图解说明:

The chiral amino acid (V) was prepared by two alternative procedures. Heck coupling between 3-iododibenzofuran (I) and methyl 2-acetamidoacrylate (II) in the presence of palladium diacetate afforded the alpha,beta-unsaturated alpha-amido ester (III), which was hydrogenated over Pd/C to yield the racemic saturated ester (IV). Incubation of (IV) with alcalase led to the enantiospecific hydrolysis of the S-enantiomer to give the required S-carboxylic acid (V). The unreacted R-enantiomer (VI) was recycled by epimerization in the presence of DBU.

合成路线图解说明:

In a different procedure, biaryl formation via ortho palladation of diaryl ether (VII) provided the desired dibenzofuran (VIII) along with a small amount of regioisomer (IX). Kinetic resolution with alcalase produced the S-carboxylic acid (V), whereas the R-ester (X) was recycled by base-catalyzed epimerization.

合成路线图解说明:

Acid hydrolysis of the acetamido group of (V) gave amino acid (XI), which was further esterified with HCl in MeOH. The resulting amino ester (XII) was then protected as the tert-butyl carbamate (XIII) and the methyl ester was hydrolyzed to carboxylic acid (XIV) by means of LiOH. Coupling of (XIV) with 3-aminopropionitrile (XV) using BOP reagent provided the N-cyanoethyl amide (XVI). Elaboration of the tetrazole ring (XVII) was carried out by treatment of (XVI) with trimethylsilyl azide, diisopropyl azodicarboxylate and triphenyl phosphine. The Boc group of (XVII) was then deprotected by treatment with formic acid. The resulting amine (XVIII) was condensed with formaldehyde, followed by reaction of the intermediate trimeric hexahydrotriazine with diphenyl phosphite to furnish alpha-aminophosphonate (XIX). Basic cleavage of the cyanoethyl group of (XIX) produced the N-dealkylated tetrazole (XX). Finally, basic hydrolysis of phosphonate ester groups of (XX) gave rise to the title compound.

Drug Information Express,Drug R&D,Chemical Database,Patent Search.
Copyright © 2006-2026 Drug Future. All rights reserved.Contact Us