【药物名称】A-285354.0
化学结构式(Chemical Structure):
参考文献No.40808
标题:Pyrazole inhibitors of cytokine production
作者:Sciotti, R.J.; Wagenaar, F.L.; Zhou, X.; Wiedeman, P.E.; Warrior, U.; Luly, J.R.; Djuric, S.W.; Tu, N.P.; Ba Maung, N.Y.; Madar, D.J.; Gubbins, E.J.; Basha, A. (Abbott Laboratories Inc.)
来源:EP 1068187; WO 9951580
合成路线图解说明:

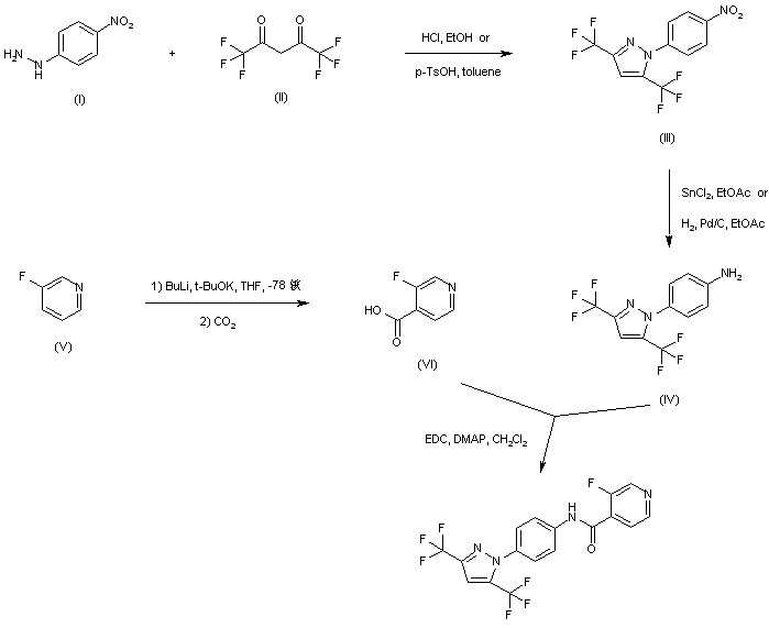
Acid-catalyzed condensation of 4-nitrophenylhydrazine (I) with 1,1,1,5,5,5-hexafluoro-2,4-pentanedione (II) produced pyrazole (III). Reduction of the nitro group of (III) to the corresponding amine (IV) was achieved either by treatment with stannous chloride or by catalytic hydrogenation over Pd/C. Fluoroisonicotinic acid (VI) was prepared by lithiation of 3-fluoropyridine (V) at -78 C followed by quenching with dry ice. Finally, coupling of acid (VI) with amine (IV) yielded the target amide.

Drug Information Express,Drug R&D,Chemical Database,Patent Search.
Copyright © 2006-2026 Drug Future. All rights reserved.Contact Us