【药物名称】PPO-294
化学结构式(Chemical Structure):
参考文献No.553746
标题:Pyrrolobenzoxazepinone derivatives as non-nucleoside HIV-1 RT inhibitors: Further structure-activity relationship studies and identification of more potent broad-spectrum HIV-1 RT inhibitors with antiviral activirty
作者:Campiani, G.; Morelli, E.; Fabbrini, M.; Nacci, V.; Greco, G.; Novellino, E.; Ramunno, A.; Maga, G.; Spadari, S.; Caliendo, G.; Bergamini, A.; Faggioli, E.; Uccella, I.; Bolacchi, F.; Marini, S.; Coletta, M.; Nacca, A.; Caccia, S.
来源:J Med Chem 1999,42(21),4462
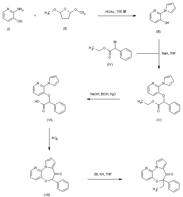
合成路线图解说明:

1-(3-Hydroxy-2-pyridyl)pyrrole (III) was prepared by Paal-Knorr condensation of 2-amino-3-hydroxypyridine (I) with 2,5-dimethoxytetrahydrofuran (II). The O-alkylation of (II) with ethyl alpha-bromophenylacetate (IV) in the presence of NaH in THF furnished ether (V). Subsequent saponification of the ethyl ester group of (IV) gave rise to carboxylic acid (VI), that was cyclized to tricyclic ketone (VII) upon treatment with phosphorus pentachloride. Finally, alkylation of the corresponding potassium enolate of (VII) with ethyl iodide yielded the title compound.

Drug Information Express,Drug R&D,Chemical Database,Patent Search.
Copyright © 2006-2026 Drug Future. All rights reserved.Contact Us