【药物名称】SH-3/24
化学结构式(Chemical Structure):
参考文献No.553745
标题:Structure-activity relationships at the monoamine transporters and sigma receptors for a novel series of 9-[3-(cis-3,5-dimethyl-1-piperazinyl)-propyl]carbazole (rimcazole) analogues
作者:Husbands, S.M.; Izenwasser, S.; Kopajtic, T.; Bowen, W.D.; Vilner, B.J.; Katz, J.L.; Newman, A.H.
来源:J Med Chem 1999,42(21),4446
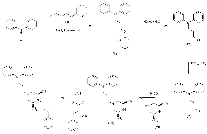
合成路线图解说明:

Alkylation of diphenylamine (I) with THP-protected 3-bromopropanol (II) using NaH in 15-crown-5 yields tertiary amine (III), which is then deprotected with HOAc/H2O to provide (IV). Alcohol (IV) is treated with PPh3 and CBr4 to afford alkyl bromide (V), which is then converted into amine (VII) by reaction with 2,6-dimethylpiperazine (VI) in DMF/H2O in the presence of K2CO3. Finally, (VII) is acylated with 3-phenylpropionyl chloride (VIII) and reduced with LAH.

Drug Information Express,Drug R&D,Chemical Database,Patent Search.
Copyright © 2006-2026 Drug Future. All rights reserved.Contact Us