【药物名称】
化学结构式(Chemical Structure):
参考文献No.40953
标题:Heteroarotinoids - Anticancer agents with receptor specificity and TGASE activity
作者:Nelson, E.C.; Madler, M.M.; Subramanian, S.; Birckbichler, P.J.; Berlin, K.D.; Patterson, M.K. Jr.; Benbrook, D.M. (Oklahoma State University)
来源:WO 9807716
合成路线图解说明:

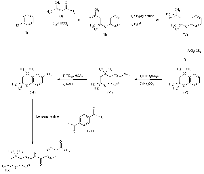
Thiophenol (I) is treated with mesityl oxide (II) in CHCl3 and Et3N to yield derivative (III), which is then converted into alcohol (IV) by means of methylmagnesium iodide in Et2O. Cyclization of (IV) by means of AlCl3 in CS2 affords benzothiopyrane derivative (V) (1), which is nitrated by means of HNO3 and Ac2O or HOAc followed by treatment with Na2CO3 to provide (VI). Nitro derivative (VI) is then reduced with TiCl3 and HOAc or HCl and treated with NaOH to yield (VII). Amine (VII) is finally acylated with acid chloride (VIII) in benzene and pyridine.

参考文献No.553744
标题:Heteroarotinoids inhibit head and neck cancer cell lines in vitro and in vivo through both RAR and RXR retinoic acid receptors
作者:Zacheis, D.; Dhar, A.; Lu, S.; Madler, M.M.; Klucik, J.; Brown, C.W.; Liu, S.; Clement, F.; Subramanian, S.; Weerasekare, G.M.; Berlin, K.D.; Gold, M.A.; Houck, J.R. Jr.; Fountain, K.R.; Benbrook, D.M.
来源:J Med Chem 1999,42(21),4434
合成路线图解说明:

Thiophenol (I) is treated with mesityl oxide (II) in CHCl3 and Et3N to yield derivative (III), which is then converted into alcohol (IV) by means of methylmagnesium iodide in Et2O. Cyclization of (IV) by means of AlCl3 in CS2 affords benzothiopyrane derivative (V) (1), which is nitrated by means of HNO3 and Ac2O or HOAc followed by treatment with Na2CO3 to provide (VI). Nitro derivative (VI) is then reduced with TiCl3 and HOAc or HCl and treated with NaOH to yield (VII). Amine (VII) is finally acylated with acid chloride (VIII) in benzene and pyridine.

参考文献No.604777
标题:Novel heteroarotinoids: Synthesis and biological activity
作者:Spruce, L.W.; Gale, J.B.; Berlin, K.D.; Verma, A.K.; Breitman, T.R.; Ji, X.H.; van der Helm, D.
来源:J Med Chem 1991,34(1),430
合成路线图解说明:

Thiophenol (I) is treated with mesityl oxide (II) in CHCl3 and Et3N to yield derivative (III), which is then converted into alcohol (IV) by means of methylmagnesium iodide in Et2O. Cyclization of (IV) by means of AlCl3 in CS2 affords benzothiopyrane derivative (V) (1), which is nitrated by means of HNO3 and Ac2O or HOAc followed by treatment with Na2CO3 to provide (VI). Nitro derivative (VI) is then reduced with TiCl3 and HOAc or HCl and treated with NaOH to yield (VII). Amine (VII) is finally acylated with acid chloride (VIII) in benzene and pyridine.

Drug Information Express,Drug R&D,Chemical Database,Patent Search.
Copyright © 2006-2026 Drug Future. All rights reserved.Contact Us