【药物名称】
化学结构式(Chemical Structure):
参考文献No.553743
标题:Synthesis and anticonvulsant activity of novel and potent 2,3-benzodiazepine AMPA/kainate receptor antagonists
作者:Grasso, S.; De Sarro, G.; De Sarro, A.; Micale, N.; Zappala, M.; Pula, G.; Baraldi, M.; De Micheli, C.
来源:J Med Chem 1999,42(21),4414
合成路线图解说明:

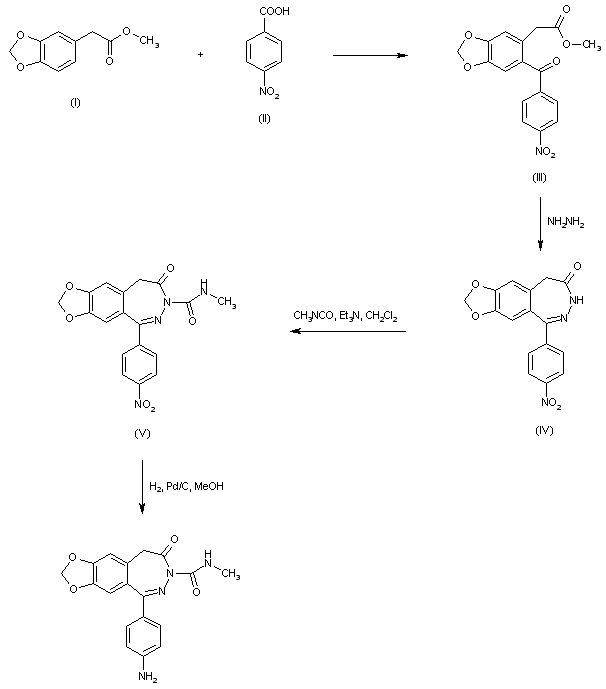
Benzophenone (III) was prepared by Friedel-Crafts acylation of methyl 3,4-methylenedioxyphenylacetate (I) with 4-nitrobenzoic acid (II). Subsequent cyclization of (III) with hydrazine gave rise to benzodiazepinone (IV). This was treated with methyl isocyanate in the presence of triethylamine to yield the corresponding urea (V). Finally, the nitro group of (V) was reduced to the title aniline by catalytic hydrogenation using Pd-C.

Drug Information Express,Drug R&D,Chemical Database,Patent Search.
Copyright © 2006-2026 Drug Future. All rights reserved.Contact Us