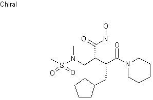
【药物名称】
化学结构式(Chemical Structure):
参考文献No.553516
标题:The synthesis and biological evaluation of non-peptidic matrix metalloproteinase inhibitors
作者:Martin, F.M.; Beckett, R.P.; Bellamy, C.L.; Courtney, P.F.; Davies, S.J.; Drummond, A.H.; Dodd, R.; Pratt, L.M.; Patel, S.R.; Ricketts, M.L.; Todd, R.S.; Tuffnel, A.R.; Ward, J.W.; Whittaker, M.
来源:Bioorg Med Chem Lett 1999,9(19),2887
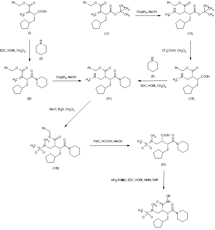
合成路线图解说明:

The intermediate amide (IV) can be obtained by two related methods. The homochiral methylenesuccinate (I) was coupled with piperidine (II) in the presence of EDC and HOBt to afford amide (III). Subsequent stereoselective conjugate addition of methylamine produced the (R,R)-amine (IV). In a related procedure, conjugate addition of methylamine to unsaturated ester (V) gave adduct (VI). Acid cleavage of the tert-butyl ester of (VI) generated carboxylic acid (VII), which was then coupled with piperidine (II) to provide (IV). Sulfonamide (VIII) was prepared by condensation of amine (IV) with methanesulfonyl chloride. Hydrogenolysis of the benzyl ester of (VIII) yielded acid (IX), which was finally coupled with hydroxylamine producing the title hydroxamic acid.

Drug Information Express,Drug R&D,Chemical Database,Patent Search.
Copyright © 2006-2026 Drug Future. All rights reserved.Contact Us