【药物名称】
化学结构式(Chemical Structure):
参考文献No.554659
标题:Structure-activity relationship in two series of aminoalkyl substituted coumarin inhibitors of gyrase B
作者:Laurin, P.; Ferroud, D.; Schio, L.; Klich, M.; Dupuis-Hamelin, C.; Mauvais, P.; Lassaigne, P.; Bonnefoy, A.; Musicki, B.
来源:Bioorg Med Chem Lett 1999,9(19),2875
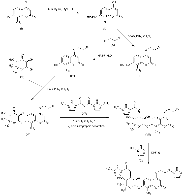
合成路线图解说明:

4,7-Dihydroxy-8-methylcoumarin (I) was selectively protected as the monosilylated derivative (II) using tert-butyldiphenylsilyl chloride and Et3N. Subsequent Mitsunobu coupling of (II) with 2-bromoethanol (A) produced the bromoethoxy coumarin (III). After desilylation of (III) with a mixture of HF and KF, the resulting phenol (IV) was coupled with noviose triol (V) under Mitsunobu conditions to afford the alpha-glycoside (VI) as the major isomer. Esterification of (VI) with 5-methylpyrrole-2-carboxylic anhydride (VII) in the presence of CoCl2 yielded the desired 3'-ester (VIII) along with minor amounts of 2'-ester, which was separated by column chromatography. Finally, displacement of the bromide of (VIII) by 2-mercaptoimidazole (IX) furnished the corresponding thioether.

Drug Information Express,Drug R&D,Chemical Database,Patent Search.
Copyright © 2006-2026 Drug Future. All rights reserved.Contact Us