【药物名称】Dapivirine, TMC-120, R-147681
化学结构式(Chemical Structure):
参考文献No.40694
标题:HIV inhibiting pyrimidine derivs.
作者:Heeres, J.; Kukla, M.J.; Andries, K.J.L.M.; Janssen, P.A.J.; Ho, C.Y.; Janssen, M.A.C.; Ludovici, D.W.; de Corte, B.; de Jonge, M.R.; Koymans, L.M.H.; van Aken, K.J.A. (Janssen Pharmaceutica NV)
来源:EP 0945442; EP 0945443; US 6197779; US 6440986; WO 9950250
合成路线图解说明:

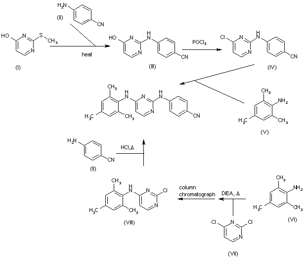
The synthesis can be performed by two related ways: 1) The condensation of 2-(methylsulfanyl)pyrimidin-4-ol (I) with 4-aminobenzonitrile (II) in hot diglyme gives 4-(4-hydroxypyrimidin-2-ylamino)benzonitrile (III), which is treated with POCl3 to yield the corresponding chloro derivative (IV). Finally, this compound is condensed with 2,4,6-trimethylaniline (V) in dioxane to afford the target 4-aminobenzonitrile derivative. 2) Condensation of 2,4,6-trimethylaniline (VI) with 2,4-dichloropyrimidine (VII) by means of DIEA in refluxing 1,4-dioxane, followed by chromatographic purification furnishes intermediate (VIII), which is finally converted into the desired compound by condensation with 4-aminobenzonitrile (II) in refluxing water by means of HCl in 2-propanol.

参考文献No.632046
标题:Evolution of anti-HIV drug candidates. Part 3: Diarylpyrimidine (DAPY) analogues
作者:Ludovici, D.W.; De Corte, B.L.; Kukla, M.J.; Ye, H.; Ho, C.Y.; Lichtenstein, M.A.; Kavash, R.W.; Andries, K.; de Bethune, M.P.; Azijn, H.; Pauwels, R.; Lewi, P.J.; Heeres, J.; Koymans, L.M.; de Jonge, M.R.; Van Aken, K.J.; Daeyaert, F.F.; et al.
来源:Bioorg Med Chem Lett 2001,11(17),2235
合成路线图解说明:

The synthesis can be performed by two related ways: 1) The condensation of 2-(methylsulfanyl)pyrimidin-4-ol (I) with 4-aminobenzonitrile (II) in hot diglyme gives 4-(4-hydroxypyrimidin-2-ylamino)benzonitrile (III), which is treated with POCl3 to yield the corresponding chloro derivative (IV). Finally, this compound is condensed with 2,4,6-trimethylaniline (V) in dioxane to afford the target 4-aminobenzonitrile derivative. 2) Condensation of 2,4,6-trimethylaniline (VI) with 2,4-dichloropyrimidine (VII) by means of DIEA in refluxing 1,4-dioxane, followed by chromatographic purification furnishes intermediate (VIII), which is finally converted into the desired compound by condensation with 4-aminobenzonitrile (II) in refluxing water by means of HCl in 2-propanol.

合成路线图解说明:

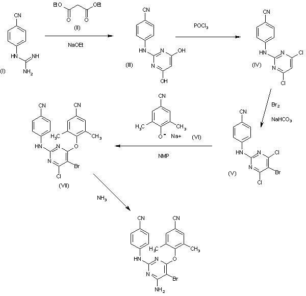
The cyclization of 4-guanidinobenzonitrile (I) with diethyl malonate (II) by means of NaOEt in ethanol gives 4-(4,6-dihydroxypyrimidin-2-ylamino)benzonitrile (III), which is treated with POCl3 to yield the corresponding dichloro derivative (IV). The bromination of (IV) with Br2 and NaHCO3 in methanol/water affords 4-(5-bromo-4,6-dichloropyrimidin-2-ylamino)benzonitrile (V), which is condensed with sodium 4-cyano-2,6-dimethylphenolate (VI) and N-methylpyrrolidone in dioxane to provide the chloro precursor (VII). Finally, this compound is treated with ammonia in isopropanol to yield the target dinitrile derivative.

Drug Information Express,Drug R&D,Chemical Database,Patent Search.
Copyright © 2006-2026 Drug Future. All rights reserved.Contact Us