【药物名称】Nomifensine maleate, Hoe-984, Merital
化学结构式(Chemical Structure):
参考文献No.47829
标题:4-Phenyl-8-amino tetrahydroisoquinolines
作者:Hoffmann, I.; Gustav, E.; Heinrich, O.; Schmitt, K. (Aventis Pharma AG)
来源:DE 1670694; DE 1670848; FR 1524487; FR 6496M; FR 6646M; GB 1164192; US 3577424
合成路线图解说明:

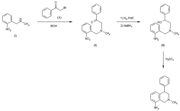
By condensation of 2-nitrobenzylmethylamine (I) with alpha-bromoacetophenone (A) in ethanol to give omega-[N-(2-nitrobenzyl)methylamino]acetophenone (II) (HCl salt, m.p. 165-7 C), which is then reduced first with H2 over Pd/C, or Ni-diatomaceous earth and afterwards with NaBH4 in CH2Cl2 to give N-(2-aminobenzyl)-1-phenyl-2-methylaminoethanol (III), m.p. 67-9 C. This product is finally cyclized with sulfuric acid.

参考文献No.604467
标题:8-Amino-4-phenyl-1,2,3,4-tetrahydroisoquinolines, a new group of anti-depressive psycholeptic drugs
作者:Hoffmann, I.; Gustav, E.; Schmitt, K.
来源:Arzneim-Forsch Drug Res 1971,21(7),1045
合成路线图解说明:

By condensation of 2-nitrobenzylmethylamine (I) with alpha-bromoacetophenone (A) in ethanol to give omega-[N-(2-nitrobenzyl)methylamino]acetophenone (II) (HCl salt, m.p. 165-7 C), which is then reduced first with H2 over Pd/C, or Ni-diatomaceous earth and afterwards with NaBH4 in CH2Cl2 to give N-(2-aminobenzyl)-1-phenyl-2-methylaminoethanol (III), m.p. 67-9 C. This product is finally cyclized with sulfuric acid.

参考文献No.800720
标题:Nomifensin
作者:Chatterjee, S.S.; Casta馿r, J.
来源:Drugs Fut 1976,1(2),72
合成路线图解说明:

By condensation of 2-nitrobenzylmethylamine (I) with alpha-bromoacetophenone (A) in ethanol to give omega-[N-(2-nitrobenzyl)methylamino]acetophenone (II) (HCl salt, m.p. 165-7 C), which is then reduced first with H2 over Pd/C, or Ni-diatomaceous earth and afterwards with NaBH4 in CH2Cl2 to give N-(2-aminobenzyl)-1-phenyl-2-methylaminoethanol (III), m.p. 67-9 C. This product is finally cyclized with sulfuric acid.

Drug Information Express,Drug R&D,Chemical Database,Patent Search.
Copyright © 2006-2026 Drug Future. All rights reserved.Contact Us