【药物名称】Fluproquazone, Tormosyl
化学结构式(Chemical Structure):
参考文献No.701399
标题:
作者:Hardtmann, G.E.
来源:US 3937705
合成路线图解说明:

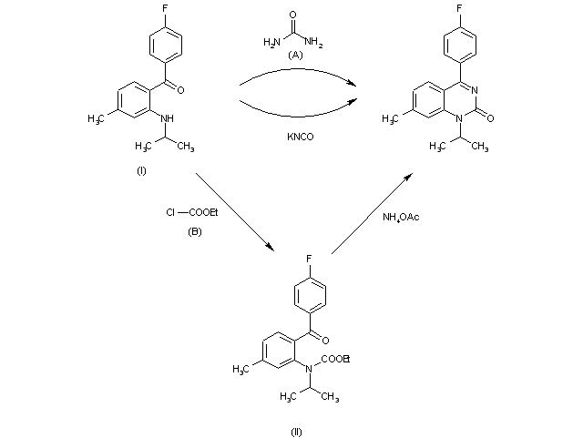
This compound can be prepared in several ways: 1) By cyclization of 2-isopropylamino-4-methyl-4'-fluorobenzophenone (I) with potassium cyanate in hot acetic acid. 2) By cyclization of 2-isopropylamino-4-methyl-4'-fluorobenzophenone (I) with urea (A) or alkyl carbamates in the presence of an acid. 3) By condensation of 2-isopropylamino-4-methyl-4'-fluorobenzophenone (I) with ethyl chloroformate (B) at 100 C to give 2-(N ethoxycarbonyl-N-isopropylamino)-4-methyl-4'-fluorobenzophenone (II), followed by cyclization with ammonium acetate at 130 C.

参考文献No.701400
标题:
作者:Gamboni, G.
来源:DE 2753970
合成路线图解说明:

This compound can be prepared in several ways: 1) By cyclization of 2-isopropylamino-4-methyl-4'-fluorobenzophenone (I) with potassium cyanate in hot acetic acid. 2) By cyclization of 2-isopropylamino-4-methyl-4'-fluorobenzophenone (I) with urea (A) or alkyl carbamates in the presence of an acid. 3) By condensation of 2-isopropylamino-4-methyl-4'-fluorobenzophenone (I) with ethyl chloroformate (B) at 100 C to give 2-(N ethoxycarbonyl-N-isopropylamino)-4-methyl-4'-fluorobenzophenone (II), followed by cyclization with ammonium acetate at 130 C.

参考文献No.701401
标题:
作者:Hardtmann, G.E.
来源:DE 2230393
合成路线图解说明:

This compound can be prepared in several ways: 1) By cyclization of 2-isopropylamino-4-methyl-4'-fluorobenzophenone (I) with potassium cyanate in hot acetic acid. 2) By cyclization of 2-isopropylamino-4-methyl-4'-fluorobenzophenone (I) with urea (A) or alkyl carbamates in the presence of an acid. 3) By condensation of 2-isopropylamino-4-methyl-4'-fluorobenzophenone (I) with ethyl chloroformate (B) at 100 C to give 2-(N ethoxycarbonyl-N-isopropylamino)-4-methyl-4'-fluorobenzophenone (II), followed by cyclization with ammonium acetate at 130 C.

参考文献No.701402
标题:
作者:Hardtmann, G.E.
来源:FR 2174828
合成路线图解说明:

This compound can be prepared in several ways: 1) By cyclization of 2-isopropylamino-4-methyl-4'-fluorobenzophenone (I) with potassium cyanate in hot acetic acid. 2) By cyclization of 2-isopropylamino-4-methyl-4'-fluorobenzophenone (I) with urea (A) or alkyl carbamates in the presence of an acid. 3) By condensation of 2-isopropylamino-4-methyl-4'-fluorobenzophenone (I) with ethyl chloroformate (B) at 100 C to give 2-(N ethoxycarbonyl-N-isopropylamino)-4-methyl-4'-fluorobenzophenone (II), followed by cyclization with ammonium acetate at 130 C.

参考文献No.800487
标题:Fluproquazone
作者:Serradell, M.N.; Blancafort, P.; Casta馿r, J.; Hilier, K.
来源:Drugs Fut 1980,5(3),130
合成路线图解说明:

This compound can be prepared in several ways: 1) By cyclization of 2-isopropylamino-4-methyl-4'-fluorobenzophenone (I) with potassium cyanate in hot acetic acid. 2) By cyclization of 2-isopropylamino-4-methyl-4'-fluorobenzophenone (I) with urea (A) or alkyl carbamates in the presence of an acid. 3) By condensation of 2-isopropylamino-4-methyl-4'-fluorobenzophenone (I) with ethyl chloroformate (B) at 100 C to give 2-(N ethoxycarbonyl-N-isopropylamino)-4-methyl-4'-fluorobenzophenone (II), followed by cyclization with ammonium acetate at 130 C.

Drug Information Express,Drug R&D,Chemical Database,Patent Search.
Copyright © 2006-2026 Drug Future. All rights reserved.Contact Us