【药物名称】Proquazone, Arthrex
化学结构式(Chemical Structure):
参考文献No.800750
标题:Proquazone
作者:Casta馿r, J.; Thorpe, P.
来源:Drugs Fut 1976,1(11),540
合成路线图解说明:

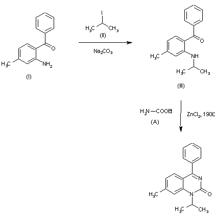
The condensation of 2-amino-4-methylbenzophenone (I) with isopropyl iodide (II) by means of sodium carbonate gives 4-methyl-2-isopropylaminobenzophenone (III), which is the cyclized with urethane (A) under the catalytic action of ZnCl2 at 190 C.

参考文献No.900138
标题:o-Isopropylaminobenzophenones
作者:Ott, H.; Denzer, M.
来源:DE 180550,1; FR 2002598; GB 1248428
合成路线图解说明:

The condensation of 2-amino-4-methylbenzophenone (I) with isopropyl iodide (II) by means of sodium carbonate gives 4-methyl-2-isopropylaminobenzophenone (III), which is the cyclized with urethane (A) under the catalytic action of ZnCl2 at 190 C.

Drug Information Express,Drug R&D,Chemical Database,Patent Search.
Copyright © 2006-2026 Drug Future. All rights reserved.Contact Us