【药物名称】TBC-3711
化学结构式(Chemical Structure):
参考文献No.50156
标题:Sulfonamides and derivs. thereof that modulate the activity of endothelin
作者:Blok, N.; Holland, G.W.; Wu, C. (Texas Biotechnology Corp.)
来源:WO 0149685
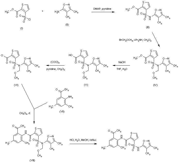
合成路线图解说明:

Coupling between 2-(methoxycarbonyl)-3-thiophenesulfonyl chloride (I) and 5-amino-3,4-dimethylisoxazole (II) afforded the corresponding sulfonamide (III). The sulfonamide NH group of (III) was then protected by reaction with bromomethyl methyl ether to produce the methoxymethyl derivative (IV). Basic hydrolysis of the methyl ester function of (IV), followed by treatment of the resultant carboxylic acid (V) with oxalyl chloride, furnished the acid chloride (VI). This was then coupled with 2'-amino-3',5'-dimethylacetophenone (VII) to yield amide (VIII). The methoxymethyl protecting group of (VIII) was finally removed by acidic treatment to provide the title compound.

Drug Information Express,Drug R&D,Chemical Database,Patent Search.
Copyright © 2006-2026 Drug Future. All rights reserved.Contact Us