【药物名称】TBC-3214
化学结构式(Chemical Structure):
参考文献No.37702
标题:Sulfonamides for treatment of endothelin-mediated disorders
作者:Blok, N.; Keller, K.; Wu, C.; Kogan, T.; Woodard, P. (Texas Biotechnology Corp.)
来源:EP 0980369; US 5783705; WO 9849162
合成路线图解说明:

The condensation of 3-(chlorosulfonyl)thiophene-2-carboxylic acid methyl ester (I) with 4-chloro-3-methylisoxazol-5-amine by means of NaH in THF gives the corresponding sulfonamide (III), which is hydrolyzed with NaOH in methanol to yield the expected carboxylic acid (IV). The reaction of (IV) with N,O-dimethylhydroxylamine and carbonyldiimidazole (CDI) in THF affords the corresponding amide (V), which is finally condensed with the Grignard reagent 6-methyl-1,3-benzodioxol-5-ylmethyl magnesium chloride (VI) in THF. The intermediate Grignard reagent (VI) is obtained by chloromethylation of 5-methyl-1,3-benzodioxole (VII) with formaldehyde and HCl, giving 5-(chloromethyl)-6-methyl-1,3-benzodioxole (VIII), followed by reaction of this compound with Mg in THF.

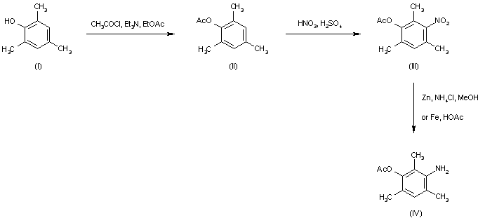
合成路线图解说明:

Protection of 2,4,6-trimethylphenol (I) as the acetate ester (II), followed by nitration with HNO3/H2SO4 provided nitrophenol acetate (III). This was reduced to the corresponding aniline (IV) employing either Zn/NH4Cl or Fe/HOAc.

合成路线图解说明:

5-Amino-3-methylisoxazole (V) was chlorinated to (VI) by means of N-chlorosuccinimide. Subsequent coupling of (VI) with 2-carbomethoxy-3-thiophenesulfonyl chloride (VII) in the presence of NaH gave sulfonamide (VIII). The sulfonamide NH group of (VII) was then protected by treatment with bromomethyl methyl ether to afford the methoxymethyl derivative (IX). Hydrolysis of the ester group of (IX) with NaOH and treatment of the resulting the carboxylic acid with oxalyl chloride furnished acid chloride (X). This was coupled with aniline (IV) to yield amide (XI). The acetyl and methoxymethyl protecting groups of (XI) were finally removed by treatment with HCl.

合成路线图解说明:

5-Amino-3-methylisoxazole (I) was chlorinated with N-chlorosuccinimide to afford (II), which was condensed with 2-carbomethoxy-3-thiophenesulfonyl chloride (III) in the presence of NaH in THF to furnish sulfonamide (IV). After protection of the sulfonamide NH group of (IV) with methoxymethyl bromide, basic hydrolysis of the methyl ester function provided carboxylic acid (VI). This was then converted to acid chloride (VII) upon treatment with oxalyl chloride and pyridine. Aminoacetophenone derivative (IX) was prepared by BCl3-catalyzed acylation of 2,4-dimethylaniline (VIII) with acetonitrile. Coupling of aniline (IX) with acid chloride (VII) to give (X) was carried out either using an excess of aniline or, alternatively, in the presence of 4-(dimethylamino)benzonitrile as the base. Finally, removal of the methoxymethyl protecting group of (X) under acidic conditions furnished the title compound.

参考文献No.610216
标题:Acyl substitution at the ortho position of anilides enhances oral bioavailability of thiophene sulfonamides: TBC3214, and ETA selective endothelin antagonist
作者:Wu, C.; Decker, E.R.; Blok, N.; Li, J.; Bourgoyne, A.R.; Bui, H.; Keller, K.M.; Knowles, V.; Li, W.; Stavros, F.D.; Holland, G.W.; Brock, T.A.; Dixon, R.A.
来源:J Med Chem 2001,44(8),1211
合成路线图解说明:

5-Amino-3-methylisoxazole (I) was chlorinated with N-chlorosuccinimide to afford (II), which was condensed with 2-carbomethoxy-3-thiophenesulfonyl chloride (III) in the presence of NaH in THF to furnish sulfonamide (IV). After protection of the sulfonamide NH group of (IV) with methoxymethyl bromide, basic hydrolysis of the methyl ester function provided carboxylic acid (VI). This was then converted to acid chloride (VII) upon treatment with oxalyl chloride and pyridine. Aminoacetophenone derivative (IX) was prepared by BCl3-catalyzed acylation of 2,4-dimethylaniline (VIII) with acetonitrile. Coupling of aniline (IX) with acid chloride (VII) to give (X) was carried out either using an excess of aniline or, alternatively, in the presence of 4-(dimethylamino)benzonitrile as the base. Finally, removal of the methoxymethyl protecting group of (X) under acidic conditions furnished the title compound.

Drug Information Express,Drug R&D,Chemical Database,Patent Search.
Copyright © 2006-2026 Drug Future. All rights reserved.Contact Us