【药物名称】5[Kpsi(CH2N)PR]-TASP, HB-19
化学结构式(Chemical Structure):
参考文献No.402988
标题:Inhibition of HIV infection by pseudopeptides blocking viral envelope glycoprotein-mediated membrane fusion and cell death
作者:Callebaut, C.; Jacotot, E.; Guichard, G.; Krust, B.; Rey-Cuille, M.; Cointe, D.; Benkirane, N.; Blanco, J.; Muller, S.; Briand, J.; Hovanessian, A.G.
来源:Virology 1996,218(1),181
合成路线图解说明:

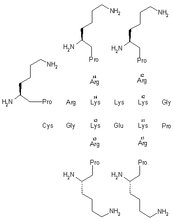
The title compound was obtained by solid-phase peptide synthesis starting from N-Boc-S-(4-methylbenzyl)cysteine linked to PAM resin (I). The protected peptide template (XVII) was synthesized by sequential coupling-deprotection cycles using the appropriate combination of either Boc- or Fmoc- N-alpha-protected amino acids. The following side-chain-protected amino acid residues were assembled: Gly (III), Lys(Boc) (V), Glu(cyclohexyl ester) (VII), Lys(Boc) (V), Pro (X), Gly (III), Lys(Boc) (V), Lys(chlorobenzyloxycarbonyl) (XIV) and Lys(Boc) (XVI) to produce the peptide resins (IV), (VI), (VIII), (IX), (XI), (XII), (XIII), (XV) and (XVII), respectively. Subsequent removal of the N-terminal and the four side-chain Boc protecting groups by means of trifluoroacetic acid yielded the peptide resin (XVIII).

合成路线图解说明:

Simultaneous coupling of five N-Boc-arginin (XIX) residues to the free amino groups of the peptide template (XVIII), followed by acid deprotection of the Boc groups, furnished (XX). To this were assembled five N-Boc-proline residues (XXI) to provide, after acid deprotection, resin (XXII). Then, reductive condensation with Boc-protected lysinal (XXIII) furnished the protected pseudopeptide adduct (XXIV). Finally, simultaneous cleavage from the resin and removal of protecting groups was effected by treatment with anhydrous hydrogen fluoride.

Drug Information Express,Drug R&D,Chemical Database,Patent Search.
Copyright © 2006-2026 Drug Future. All rights reserved.Contact Us