【药物名称】Rivoglitazone, R-106056, CI-1037, CS-011
化学结构式(Chemical Structure):
参考文献No.32147
标题:Benzimidazole derivs., their preparation and their therapeutic use
作者:Fujita, T.; Wada, K.; Oguchi, M.; Yanagisawa, H.; Fujimoto, K.; Fujiwara, T.; Horikoshi, H.; Yoshioka, T. (Sankyo Co., Ltd.)
来源:CA 2177858; EP 0745600; JP 1997295970; JP 2000001487; US 5886014
合成路线图解说明:

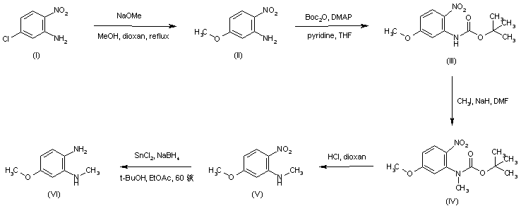
The intermediate phenylenediamine (VI) was prepared as follows. Reaction of 5-chloro-2-nitroaniline (I) with sodium methoxide afforded 5-methoxy-2-nitroaniline (II), which was subsequently converted to the N-Boc derivative (III). Methylation of (III) with iodomethane and NaH, followed by acidic treatment of the resulting N-methyl carbamate (IV), produced the N-methyl aniline (V). The nitro group of (V) was then reduced with the combination SnCl2-NaBH4 to furnish the diamine (VI).

合成路线图解说明:

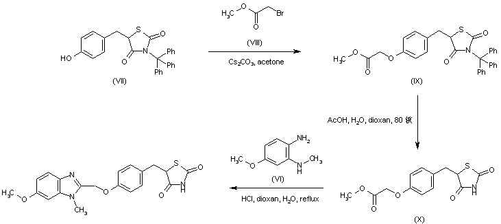
Alkylation of 5-(4-hydroxybenzyl)-3-tritylthiazolidine-2,4-dione (VII) with methyl bromoacetate (VIII) in the presence of cesium carbonate gave rise to the aryloxy acetate (IX). Subsequent cleavage of the N-trityl protecting group of (IX) was achieved by treatment with HOAc in aqueous dioxan at 80 C. The resulting ester (X) was finally condensed with phenylenediamine (VI) to produce the target benzimidazole.

参考文献No.46088
标题:Hydrochloride of fused-heterocycle cpd.
作者:Fujita, T.; Fujiwara, T.; Izumi, T. (Sankyo Co., Ltd.)
来源:EP 1180519; JP 2001039976; US 2002111373; WO 0071540
合成路线图解说明:

Alkylation of 5-(4-hydroxybenzyl)-3-tritylthiazolidine-2,4-dione (VII) with methyl bromoacetate (VIII) in the presence of cesium carbonate gave rise to the aryloxy acetate (IX). Subsequent cleavage of the N-trityl protecting group of (IX) was achieved by treatment with HOAc in aqueous dioxan at 80 C. The resulting ester (X) was finally condensed with phenylenediamine (VI) to produce the target benzimidazole.

Drug Information Express,Drug R&D,Chemical Database,Patent Search.
Copyright © 2006-2026 Drug Future. All rights reserved.Contact Us