【药物名称】MnBOPP
化学结构式(Chemical Structure):
参考文献No.23395
标题:Metallo porphyrin compsns.
作者:Kahl, S.B.; Craik, C.S. (Universit鋞 Regensburg; University of California, Oakland)
来源:JP 1996501103; WO 9405285
合成路线图解说明:

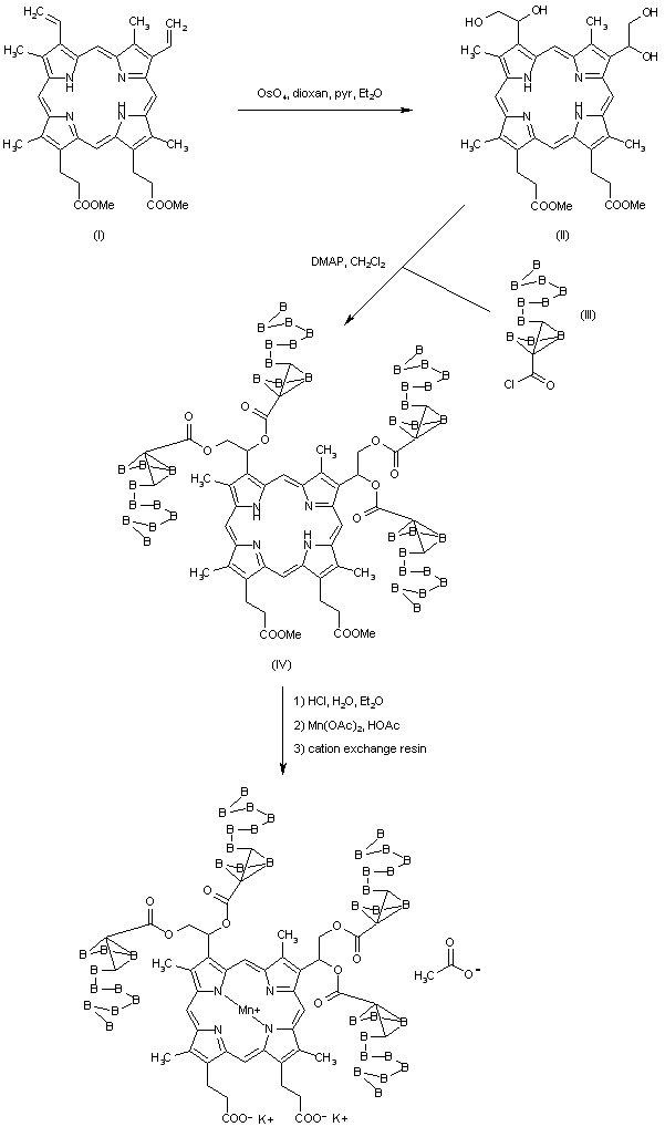
Hydroxylation of protoporphyrin dimethyl ester (I) by means of osmium tetroxide afforded the bis(glycol) derivative (II). This was condensed with carborane carbonyl chloride (III) in the presence of dimethylaminopyridine to provide tetraester (IV). Acid hydrolysis of the methyl ester groups, followed by complexation with manganese diacetate and passage through an ion exchange resin furnished the title compound.

参考文献No.41445
标题:Boronated metalloporphyrins and therapeutic methods
作者:Koo, M.-S.; Kahl, S.B. (University of California, Oakland)
来源:WO 9509856
合成路线图解说明:

Hydroxylation of protoporphyrin dimethyl ester (I) by means of osmium tetroxide afforded the bis(glycol) derivative (II). This was condensed with carborane carbonyl chloride (III) in the presence of dimethylaminopyridine to provide tetraester (IV). Acid hydrolysis of the methyl ester groups, followed by complexation with manganese diacetate and passage through an ion exchange resin furnished the title compound.

参考文献No.558224
标题:Boronated metalloporphyrins: A novel aproach to the diagnosis and treatment of cancer using contrast-enhanced MR imaging and neutron capture therapy
作者:Huang, L.R.; Straubinger, R.M.; Kahl, S.B.; Koo, M.S.; Alletto, J.J.; Mazurchuk, R.; Chau, R.I.; Thamer, S.L.; Fiel, R.J.
来源:J Magn Reson Imaging 1993,3(2),351
合成路线图解说明:

Hydroxylation of protoporphyrin dimethyl ester (I) by means of osmium tetroxide afforded the bis(glycol) derivative (II). This was condensed with carborane carbonyl chloride (III) in the presence of dimethylaminopyridine to provide tetraester (IV). Acid hydrolysis of the methyl ester groups, followed by complexation with manganese diacetate and passage through an ion exchange resin furnished the title compound.

参考文献No.558225
标题:Synthesis of tetrakis-carborane-carboxylate esters of 2,4-bis-(alpha,beta-dihydroxyethyl)-deuteroporphyrin IX
作者:Koo, M.-S.; Kahl, S.B.
来源:J Chem Soc Chem Commun 1990,(24),1769
合成路线图解说明:

Hydroxylation of protoporphyrin dimethyl ester (I) by means of osmium tetroxide afforded the bis(glycol) derivative (II). This was condensed with carborane carbonyl chloride (III) in the presence of dimethylaminopyridine to provide tetraester (IV). Acid hydrolysis of the methyl ester groups, followed by complexation with manganese diacetate and passage through an ion exchange resin furnished the title compound.

Drug Information Express,Drug R&D,Chemical Database,Patent Search.
Copyright © 2006-2026 Drug Future. All rights reserved.Contact Us