【药物名称】
化学结构式(Chemical Structure):
参考文献No.36845
标题:Substd. sulfonic acid N-[(aminoiminomethyl)phenylalkyl]-azaheterocyclamide cpds.
作者:Ewing, W.R.; Becker, M.R.; Choi-Sledeski, Y.M.; Pauls, H.W.; McGarry, D.G.; Davis, R.S.; Spada, A.P. (Aventis Pharma SA)
来源:EP 0894088; JP 2000505815; US 5731315; WO 9824784
合成路线图解说明:

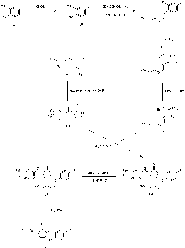
Reaction of salicylaldehyde (I) with iodine monochloride produced 2-hydroxy-5-iodobenzaldehyde (II), which was protected with (2-methoxyethoxy) methyl chloride to give ether (III). Reduction of the aldehyde group of (III) with NaBH4 yielded alcohol (IV) and subsequent treatment with N-bromosuccinimide and triphenylphosphine generated bromide (V). N-Boc-3-aminopyrrolidinone (VII) was prepared by cyclization of (S)-alpha-Boc-2,4-diaminobutyric acid (VI) in the presence of EDC and HOBt. Subsequent alkylation of (VII) with bromide (V) produced the N-benzylpyrrolidinone derivative (VIII). Displacement of iodide group of (VIII) by zinc cyanide gave nitrile (IX). Then, acid cleavage of both Boc and MEM protecting groups furnished intermediate (X).

合成路线图解说明:

Thienylacrylic acid (XII), prepared from thiophene aldehyde (XI), was activated as the mixed anhydride with ethyl chloroformate and then treated with NaN3 to yield acyl azide (XIII). Cyclization of (XIII) in the presence of Bu3P in boiling diphenyl ether generated the thienopyridine system (XIV). Chlorination of (XIV) with POCl3 afforded the chloro derivative (XV). After lithium-bromine exchange with n-butyllithium, the resulting organolithium derivative (XVI) was treated with SO2 and further oxidized to sulfonyl chloride (XVII) with SO2Cl2. Coupling of (XVII) with aminopyrrolidinone (X) yielded sulfonamide (XVIII). Conversion of the nitrile of (XVIII) to the corresponding imidate (XIX), followed by reaction with ammonia produced benzamidine (XX). Finally, hydrogenolytic dechlorination of (XX) over Pd/C provided the title compound.

合成路线图解说明:

Reaction of salicylaldehyde (I) with iodine monochloride produced 2-hydroxy-5-iodobenzaldehyde (II), which was protected with (2-methoxyethoxy) methyl chloride to give ether (III). Reduction of the aldehyde group of (III) with NaBH4 yielded alcohol (IV) and subsequent treatment with N-bromosuccinimide and triphenylphosphine generated bromide (V). N-Boc-3-aminopyrrolidinone (VII) was prepared by cyclization of (S)-alpha-Boc-2,4-diaminobutyric acid (VI) in the presence of EDC and HOBt. Subsequent alkylation of (VII) with bromide (V) produced the N-benzylpyrrolidinone derivative (VIII). Displacement of iodide group of (VIII) by zinc cyanide gave nitrile (IX). Then, acid cleavage of both Boc and MEM protecting groups furnished intermediate (X).

合成路线图解说明:

The reaction of 5-chlorothieno[3,2-b]pyridine (XI) with n-BuLi and SO2 in THF and further oxidation with SO2Cl2 gives sulfonyl chloride (XII), which was coupled with aminopyrrolidinone (X) by means of TEA in dichloromethane to yield sulfonamide (XIII). Conversion of the nitrile of (XIII) to the corresponding imidate with HCl in methanol, followed by reaction with ammonia produced benzamidine (XIV). Finally, hydrogenolytic dechlorination of (XIV) over Pd/C provided the title compound.

参考文献No.552508
标题:Synthesis, SAR and in vivo activity of novel thienopyridine sulfonamide pyrrolidinones as factor Xa inhibitors
作者:Becker, M.R.; Ewing, W.R.; Davis, R.S.; Pauls, H.W.; Ly, C.; Li, A.; Mason, H.J.; Choi-Sledeski, Y.M.; Spada, A.P.; Chu, V.; Brown, K.D.; Colussi, D.J.; Leadley, R.J.; Bentley, R.; Bostwick, J.; Kasiewski, C.; Morgan, S.
来源:Bioorg Med Chem Lett 1999,9(18),2753
合成路线图解说明:

Thienylacrylic acid (XII), prepared from thiophene aldehyde (XI), was activated as the mixed anhydride with ethyl chloroformate and then treated with NaN3 to yield acyl azide (XIII). Cyclization of (XIII) in the presence of Bu3P in boiling diphenyl ether generated the thienopyridine system (XIV). Chlorination of (XIV) with POCl3 afforded the chloro derivative (XV). After lithium-bromine exchange with n-butyllithium, the resulting organolithium derivative (XVI) was treated with SO2 and further oxidized to sulfonyl chloride (XVII) with SO2Cl2. Coupling of (XVII) with aminopyrrolidinone (X) yielded sulfonamide (XVIII). Conversion of the nitrile of (XVIII) to the corresponding imidate (XIX), followed by reaction with ammonia produced benzamidine (XX). Finally, hydrogenolytic dechlorination of (XX) over Pd/C provided the title compound.

合成路线图解说明:

The reaction of 5-chlorothieno[3,2-b]pyridine (XI) with n-BuLi and SO2 in THF and further oxidation with SO2Cl2 gives sulfonyl chloride (XII), which was coupled with aminopyrrolidinone (X) by means of TEA in dichloromethane to yield sulfonamide (XIII). Conversion of the nitrile of (XIII) to the corresponding imidate with HCl in methanol, followed by reaction with ammonia produced benzamidine (XIV). Finally, hydrogenolytic dechlorination of (XIV) over Pd/C provided the title compound.

Drug Information Express,Drug R&D,Chemical Database,Patent Search.
Copyright © 2006-2026 Drug Future. All rights reserved.Contact Us