【药物名称】Salvicine
化学结构式(Chemical Structure):
参考文献No.552507
标题:Synthesis and antitumour activity of novel diterpenequinone salvicine and the analogs
作者:Zhang, J.S.; Ding, J.; Tang, Q.M.; Li, M.; Zhao, M.; Lu, L.J.; Chen, L.J.; Yuan, S.T.
来源:Bioorg Med Chem Lett 1999,9(18),2731
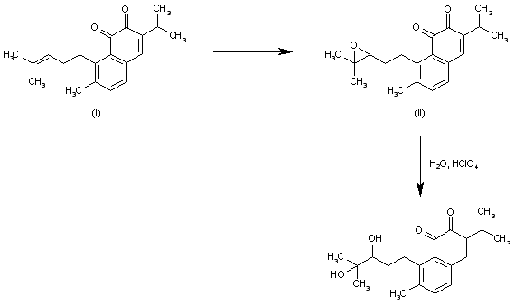
合成路线图解说明:

The epoxidation of naphthoquinone (I) with MCPBA in chloroform gives the epoxide (II), which is hydrolyzed with water and HClO4 to yield the target diol, along with other reaction products that are separated by column chromatography over silicagel.

Drug Information Express,Drug R&D,Chemical Database,Patent Search.
Copyright © 2006-2026 Drug Future. All rights reserved.Contact Us