【药物名称】HI-346
化学结构式(Chemical Structure):
参考文献No.41998
标题:Cpds. and methods for inhibition of HIV and related viruses
作者:Lind, P.T.; Noreen, R.; Ternansky, R.J.; Morin, J.M. Jr. (Medivir AB)
来源:WO 9303022
合成路线图解说明:

Treatment of 2-amino-5-bromopyridine (I) with 2-(1-cyclohexenyl)ethyl isothiocyanate (II) in hot N-methylpyrrolidinone produced the target thiourea.

合成路线图解说明:

Treatment of 2-amino-5-chloropyridine (I) with 2-(1-cyclohexenyl)ethyl isothiocyanate (II) in N,N-dimethylformamide at 90 C produced the target thiourea.

合成路线图解说明:

2,6-Difluorophenethylamine (II) was prepared by reduction of nitrile (I) with either NaBH4 in the presence of CoCl2 or borane in THF. Reaction of amine (II) with thiocarbonyldiimidazole (III) furnished the thioimidazolide (IV). This was finally condensed with 2-amino-5-chloropyridine (V), yielding the corresponding thiourea.

参考文献No.552506
标题:N-[2-(1-Cyclohexenyl)ethyl]-N'-[2-(5-bromopyridyl)]-thiourea and N'-[2-(1-cyclohexenyl)ethyl]-N'-[2-(5-chloropyridyl)]-thiourea as potent inhibitors of multidrug-resistant human immunodeficiency virus-1
作者:Uckun, F.M.; Mao, C.; Pendergrass, S.; Maher, D.; Zhu, D.; Tuel-Ahlgren, L.; Venkatachalam, T.K.
来源:Bioorg Med Chem Lett 1999,9(18),2721
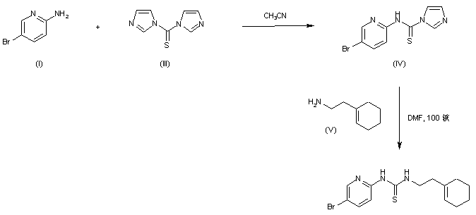
合成路线图解说明:

Alternatively, 2-amino-5-bromopyridine (I) was reacted with 1,1'-thiocarbonyldiimidazole (III) in acetonitrile yielding thioimidazolide (IV), which was then condensed with 2-(1-cyclohexenyl)ethylamine (V) in hot DMF.

合成路线图解说明:

Alternatively, 2-amino-5-chloropyridine (I) was reacted with 1,1'-thiocarbonyldiimidazole (III) in acetonitrile yielding thioimidazolide (IV), which was then condensed with 2-(1-cyclohexenyl)ethylamine (V) in hot DMF.

Drug Information Express,Drug R&D,Chemical Database,Patent Search.
Copyright © 2006-2026 Drug Future. All rights reserved.Contact Us