【药物名称】
化学结构式(Chemical Structure):
参考文献No.552503
标题:Synthesis and SAR studies of 1-substituted-n-(4-alkoxycarbonylpiperidin-1-yl)alkanes as potent antiarrhythmic agents
作者:Tripathi, R.C.; Pandey, S.K.; Kar, K.; Saxena, A.K.
来源:Bioorg Med Chem Lett 1999,9(18),2693
合成路线图解说明:

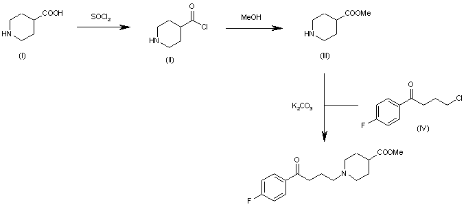
The reaction of piperidine-4-carboxylic acid (I) with SOCl2 gives the acyl chloride (II), which is treated with methanol to yield the methyl ester (III). Finally, this compound is condensed with 4-chloro-1-(4-fluorophenyl)-1-butanone (IV) by means of K2CO3 in refluxing acetone.

Drug Information Express,Drug R&D,Chemical Database,Patent Search.
Copyright © 2006-2026 Drug Future. All rights reserved.Contact Us